🇳🇴 🇬🇧 🇩🇪 🇨🇿 🇫🇮

Meteor Skarnesin yllä 2016-11-24 21:26:56 UTC

KML-tiedosto  |  Interaktiivinen kartta

Kartta näyttää meteorin suuntahavainnot. Vaaleammat viivat näyttävät suunnat havaintoasemilta meteorin ilmestyessä, ja tummemmat viivat näyttävät, missä se viimeksi nähtiin. Sininen nuoli näyttää meteorin näkyvän lennon.

static map
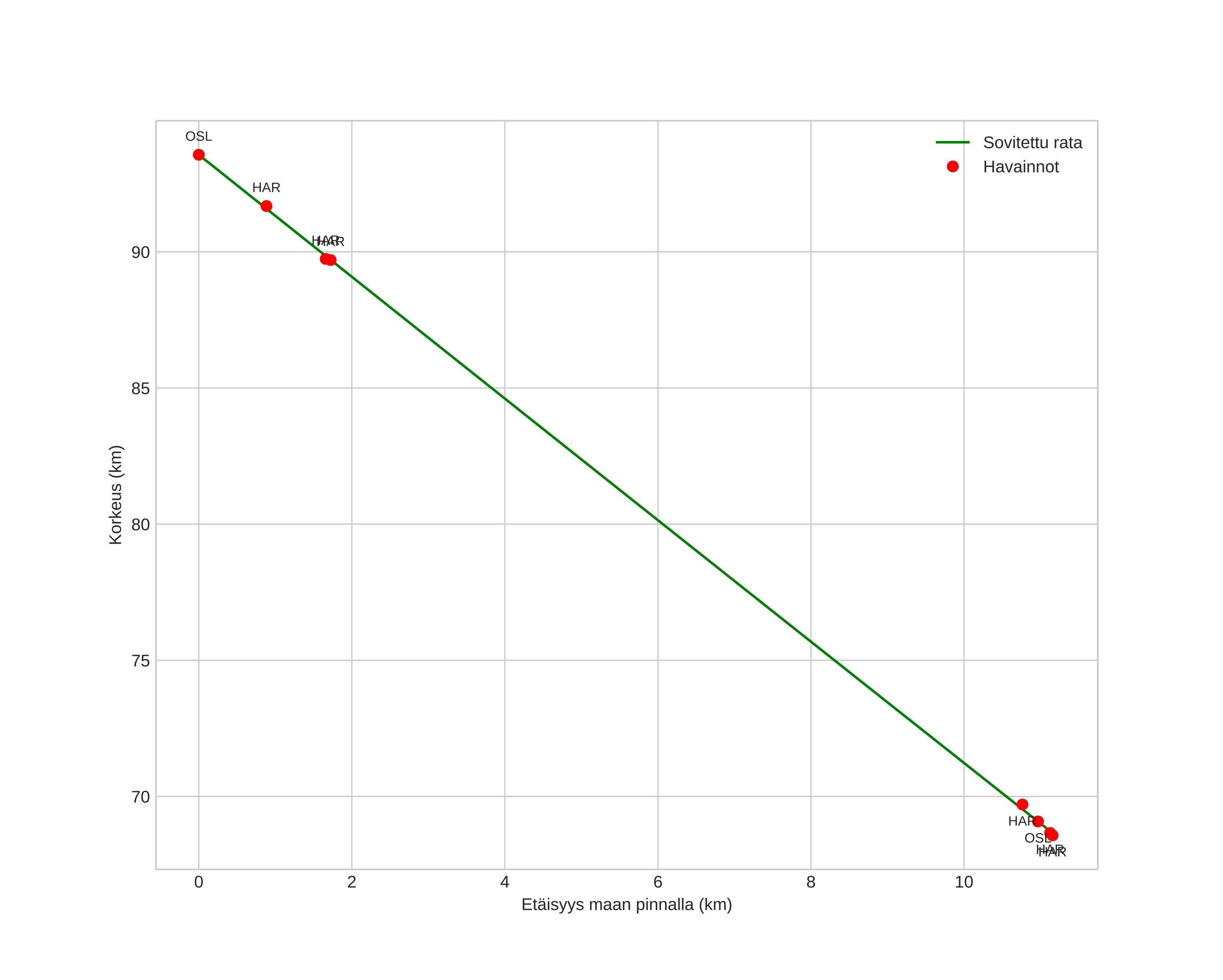
height profile
Meteorin ilmakehärata:
Alkukorkeus: 93,6 km
Loppukorkeus: 68,6 km
Alkupiste: 60,513N 11,659E
Loppupiste: 60,424N 11,754E
Suunta: 152,4°
Kallistuskulma: 65,9°
Tulonopeus: 27,2 km/s
Radiantin R,A,: 22:29 (337,4°)
Radiantin Dekl,: 76,2°
Meteoriparvi: Sporadinen
Meteoroidin rataelementit:
Perihelietäisyys: 0,926 AU
Eksentrisyys: 0,816
Inklinaatio: 36,1°
Nousevan solmun pituus: 242,8°
Perihelin argumentti: 210,4°
Keskianomalia: 358,1°
Epookki: 2016 NOV 24 21:26:56
orbit plot

Ei-interaktiivinen kuvaaja | Interaktiivinen kuvaaja

position vs time
speed and acceleration