🇳🇴 🇬🇧 🇩🇪 🇨🇿 🇫🇮

Meteor, poloha: Kil 2016-11-26 03:46:53 UTC

Soubor KML  |  InteraktivnĂ­ mapa

Mapa zobrazuje dráhy meteoru. Světlejší čáry ukazují směry od pozorovacích stanic při objevení se meteoru a tmavší čáry, kde byl naposledy viděn. Modrá šipka značí viditelnou dráhu meteoru.

static map
height profile
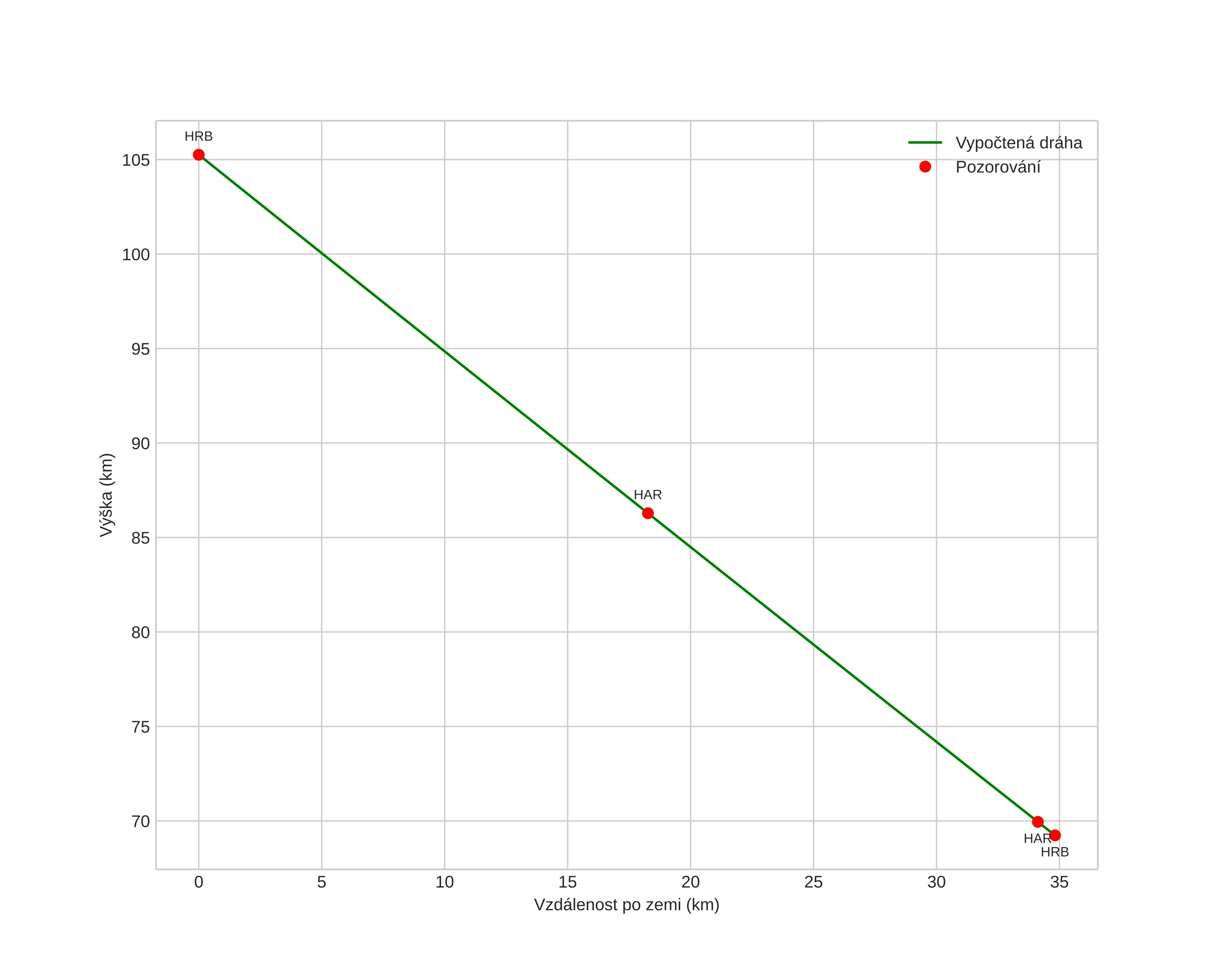
Atmosférická dráha meteoru:
Počáteční výška: 105,3 km
Konečná výška: 69,2 km
Počáteční poloha: 59,754N 13,337E
Konečná poloha: 59,441N 13,351E
Směr: 178,7°
Sklon: 46,0°
VstupnĂ­ rychlost: 29,1 km/s
Rektascenze radiantu: 21:23 (320,8°)
Deklinace radiantu: 74,4°
MeteorickĂ˝ roj: sporadickĂ˝
Elementy dráhy meteoroidu:
Vzdálenost v periheliu: 0,949 AU
Excentricita: 0,987
Sklon dráhy: 38,2°
Délka vzestupného uzlu: 244,1°
Argument perihelia: 202,7°
Střední anomálie: 360,0°
Epocha: 2016 NOV 26 03:46:53
orbit plot

NeinteraktivnĂ­ graf | InteraktivnĂ­ graf

position vs time
speed and acceleration