🇳🇴 🇬🇧 🇩🇪 🇨🇿 🇫🇮

Meteor Kilin yllä 2016-11-26 03:46:53 UTC

KML-tiedosto  |  Interaktiivinen kartta

Kartta näyttää meteorin suuntahavainnot. Vaaleammat viivat näyttävät suunnat havaintoasemilta meteorin ilmestyessä, ja tummemmat viivat näyttävät, missä se viimeksi nähtiin. Sininen nuoli näyttää meteorin näkyvän lennon.

static map
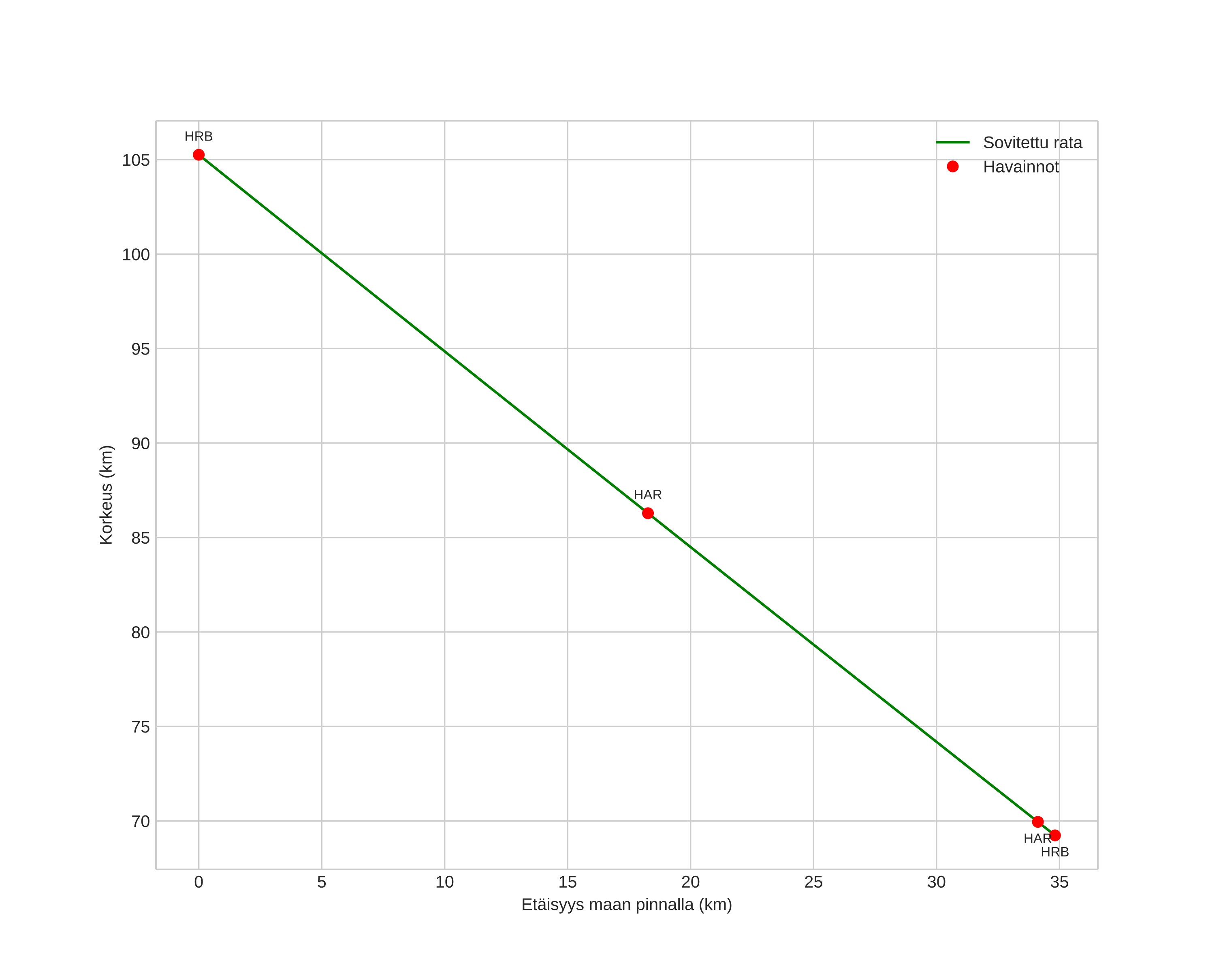
height profile
Meteorin ilmakehärata:
Alkukorkeus: 105,3 km
Loppukorkeus: 69,2 km
Alkupiste: 59,754N 13,337E
Loppupiste: 59,441N 13,351E
Suunta: 178,7°
Kallistuskulma: 46,0°
Tulonopeus: 29,1 km/s
Radiantin R,A,: 21:23 (320,8°)
Radiantin Dekl,: 74,4°
Meteoriparvi: Sporadinen
Meteoroidin rataelementit:
Perihelietäisyys: 0,949 AU
Eksentrisyys: 0,987
Inklinaatio: 38,2°
Nousevan solmun pituus: 244,1°
Perihelin argumentti: 202,7°
Keskianomalia: 360,0°
Epookki: 2016 NOV 26 03:46:53
orbit plot

Ei-interaktiivinen kuvaaja | Interaktiivinen kuvaaja

position vs time
speed and acceleration