🇳🇴 🇬🇧 🇩🇪 🇨🇿 🇫🇮

Meteor, poloha: Innbygda 2016-11-27 20:59:06 UTC

Soubor KML  |  InteraktivnĂ­ mapa

Mapa zobrazuje dráhy meteoru. Světlejší čáry ukazují směry od pozorovacích stanic při objevení se meteoru a tmavší čáry, kde byl naposledy viděn. Modrá šipka značí viditelnou dráhu meteoru.

static map
height profile
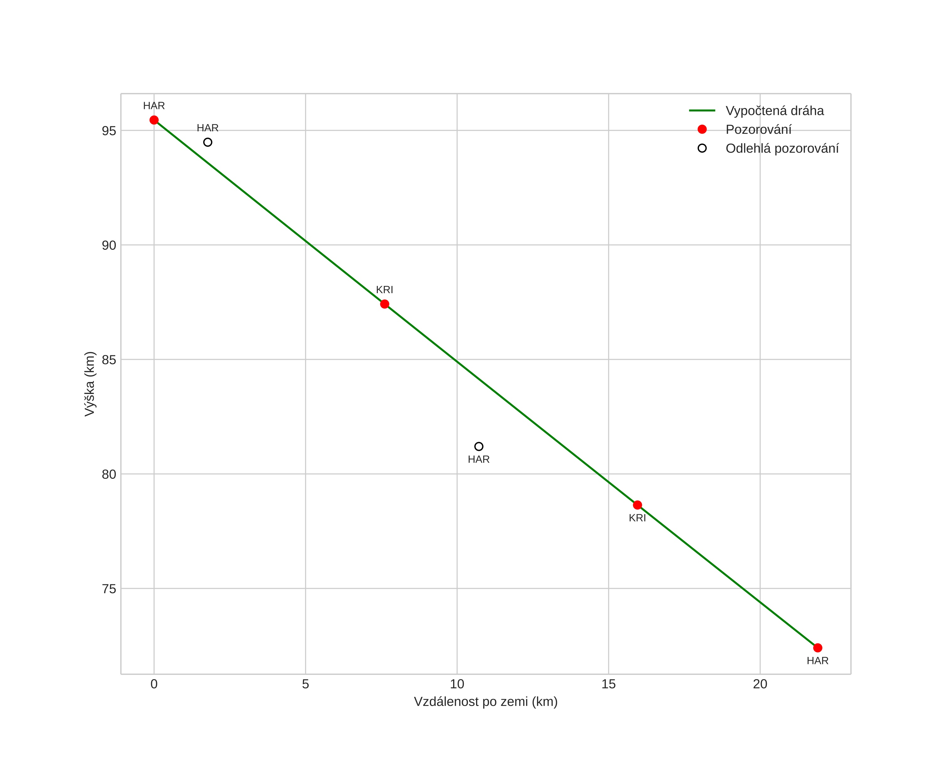
Atmosférická dráha meteoru:
Počáteční výška: 95,5 km
Konečná výška: 72,4 km
Počáteční poloha: 61,712N 13,249E
Konečná poloha: 61,850N 12,952E
Směr: 314,7°
Sklon: 46,5°
VstupnĂ­ rychlost: 30,5 km/s
Rektascenze radiantu: 04:30 (67,5°)
Deklinace radiantu: 22,7°
MeteorickĂ˝ roj: SevernĂ­ Tauridy
Elementy dráhy meteoroidu:
Vzdálenost v periheliu: 0,466 AU
Excentricita: 0,910
Sklon dráhy: 0,8°
Délka vzestupného uzlu: 245,7°
Argument perihelia: 276,4°
Střední anomálie: 356,6°
Epocha: 2016 NOV 27 20:59:06
orbit plot

NeinteraktivnĂ­ graf | InteraktivnĂ­ graf

position vs time
speed and acceleration