🇳🇴 🇬🇧 🇩🇪 🇨🇿 🇫🇮

Meteor Innbygdan yllä 2016-11-27 20:59:06 UTC

KML-tiedosto  |  Interaktiivinen kartta

Kartta näyttää meteorin suuntahavainnot. Vaaleammat viivat näyttävät suunnat havaintoasemilta meteorin ilmestyessä, ja tummemmat viivat näyttävät, missä se viimeksi nähtiin. Sininen nuoli näyttää meteorin näkyvän lennon.

static map
height profile
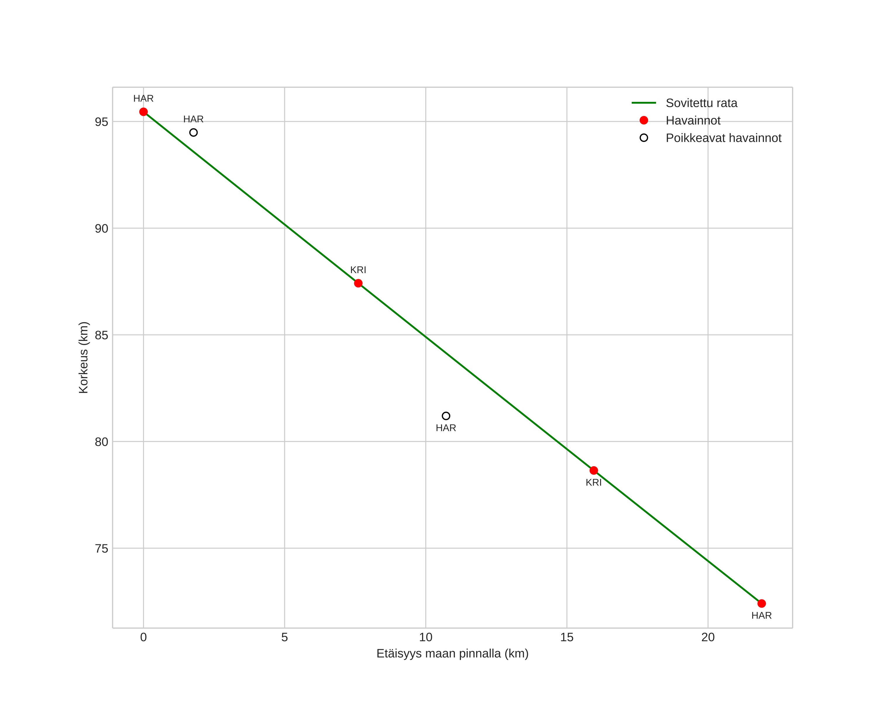
Meteorin ilmakehärata:
Alkukorkeus: 95,5 km
Loppukorkeus: 72,4 km
Alkupiste: 61,712N 13,249E
Loppupiste: 61,850N 12,952E
Suunta: 314,7°
Kallistuskulma: 46,5°
Tulonopeus: 30,5 km/s
Radiantin R,A,: 04:30 (67,5°)
Radiantin Dekl,: 22,7°
Meteoriparvi: Pohjoiset tauridit
Meteoroidin rataelementit:
Perihelietäisyys: 0,466 AU
Eksentrisyys: 0,910
Inklinaatio: 0,8°
Nousevan solmun pituus: 245,7°
Perihelin argumentti: 276,4°
Keskianomalia: 356,6°
Epookki: 2016 NOV 27 20:59:06
orbit plot

Ei-interaktiivinen kuvaaja | Interaktiivinen kuvaaja

position vs time
speed and acceleration