🇳🇴 🇬🇧 🇩🇪 🇨🇿 🇫🇮

Meteor, poloha: Jevnaker 2016-11-28 05:08:07 UTC

Soubor KML  |  InteraktivnĂ­ mapa

Mapa zobrazuje dráhy meteoru. Světlejší čáry ukazují směry od pozorovacích stanic při objevení se meteoru a tmavší čáry, kde byl naposledy viděn. Modrá šipka značí viditelnou dráhu meteoru.

static map
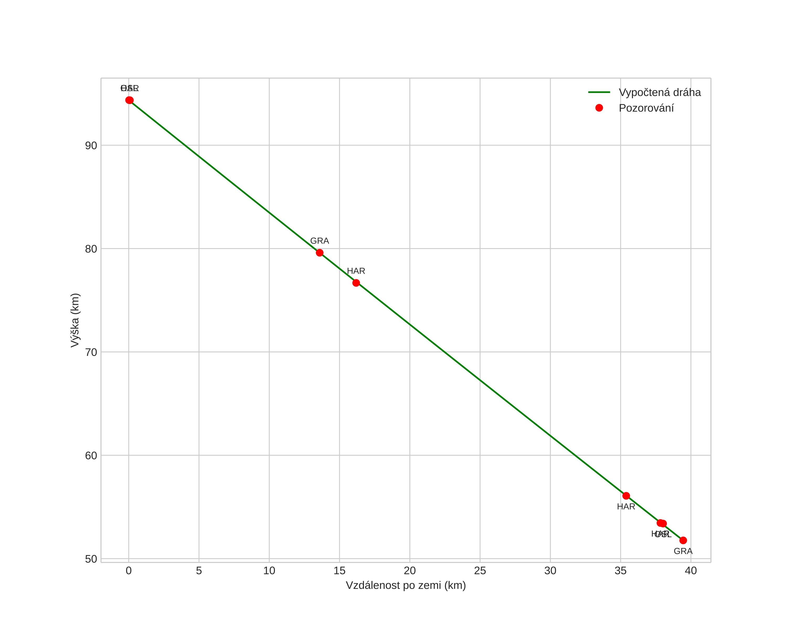
height profile
Atmosférická dráha meteoru:
Počáteční výška: 94,4 km
Konečná výška: 51,8 km
Počáteční poloha: 60,461N 10,560E
Konečná poloha: 60,113N 10,411E
Směr: 192,0°
Sklon: 47,2°
VstupnĂ­ rychlost: 25,9 km/s
Rektascenze radiantu: 20:25 (306,4°)
Deklinace radiantu: 73,2°
MeteorickĂ˝ roj: sporadickĂ˝
Elementy dráhy meteoroidu:
Vzdálenost v periheliu: 0,965 AU
Excentricita: 0,771
Sklon dráhy: 35,1°
Délka vzestupného uzlu: 246,2°
Argument perihelia: 198,2°
Střední anomálie: 358,5°
Epocha: 2016 NOV 28 05:08:07
orbit plot

NeinteraktivnĂ­ graf | InteraktivnĂ­ graf

position vs time
speed and acceleration