🇳🇴 🇬🇧 🇩🇪 🇨🇿 🇫🇮

Meteor über Jevnaker 2016-11-28 05:08:07 UTC

KML-Datei  |  Interaktive Karte

Die Karte zeigt die Peilungen für den Meteor. Die helleren Linien zeigen die Richtungen von den Beobachtungsorten beim Erscheinen des Meteors, und die dunkleren Linien, wo er zuletzt gesehen wurde. Der blaue Pfeil zeigt die sichtbare Bahn des Meteors.

static map
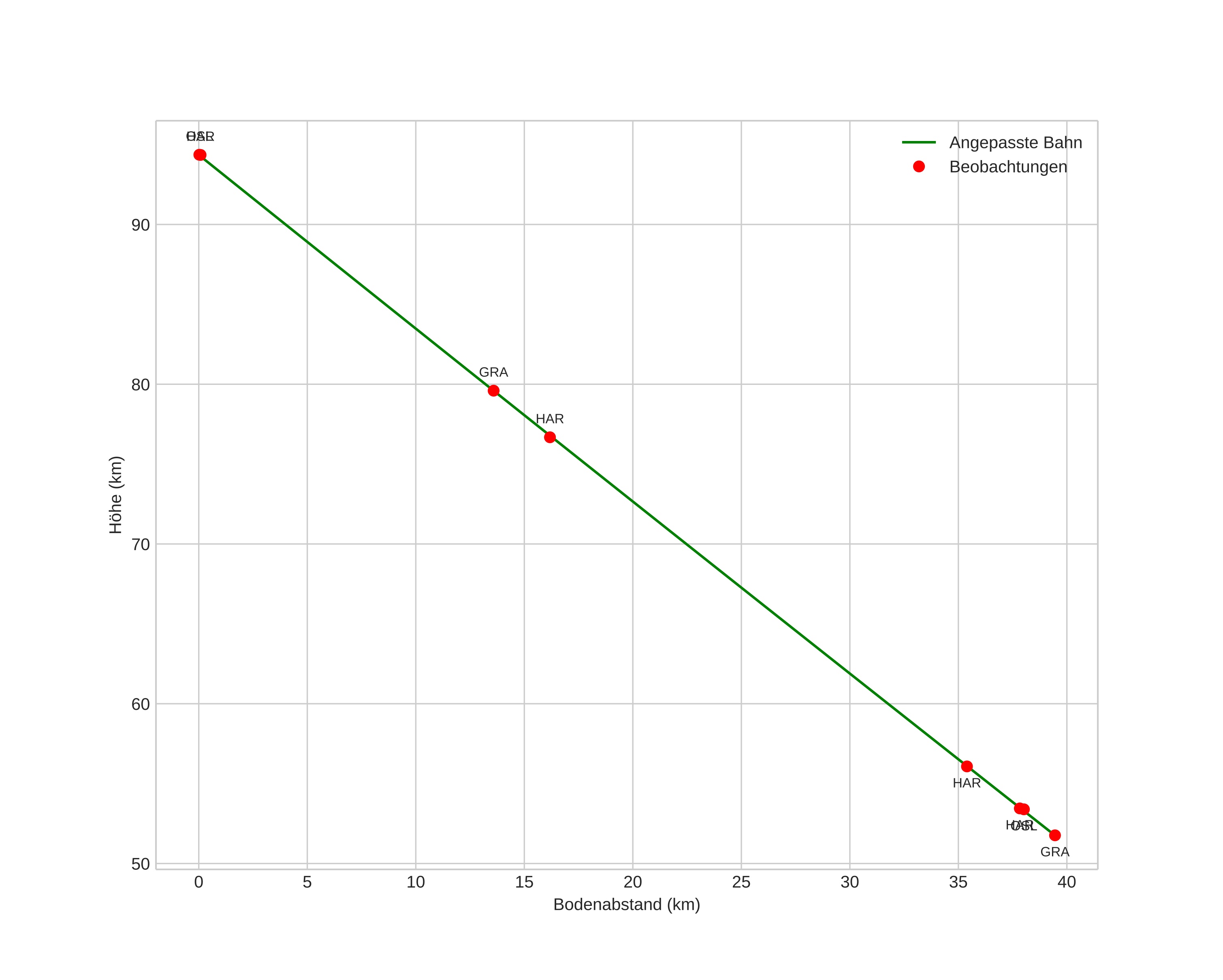
height profile
Atmosphärische Bahn des Meteors:
Anfangshöhe: 94,4 km
Endhöhe: 51,8 km
Startposition: 60,461N 10,560E
Endposition: 60,113N 10,411E
Richtung: 192,0°
Neigungswinkel: 47,2°
Eintrittsgeschwindigkeit: 25,9 km/s
Rektaszension des Radianten: 20:25 (306,4°)
Deklination des Radianten: 73,2°
Meteorstrom: sporadisch
Bahnelemente des Meteoroiden:
Periheldistanz: 0,965 AU
Exzentrizität: 0,771
Inklination: 35,1°
Länge des aufsteigenden Knotens: 246,2°
Argument des Perihels: 198,2°
Mittlere Anomalie: 358,5°
Epoche: 2016 NOV 28 05:08:07
orbit plot

Nicht-interaktives Diagramm | Interaktives Diagramm

position vs time
speed and acceleration