🇳🇴 🇬🇧 🇩🇪 🇨🇿 🇫🇮

Meteor, poloha: Hvittingfoss 2016-11-30 17:49:02 UTC

Soubor KML  |  InteraktivnĂ­ mapa

Mapa zobrazuje dráhy meteoru. Světlejší čáry ukazují směry od pozorovacích stanic při objevení se meteoru a tmavší čáry, kde byl naposledy viděn. Modrá šipka značí viditelnou dráhu meteoru.

static map
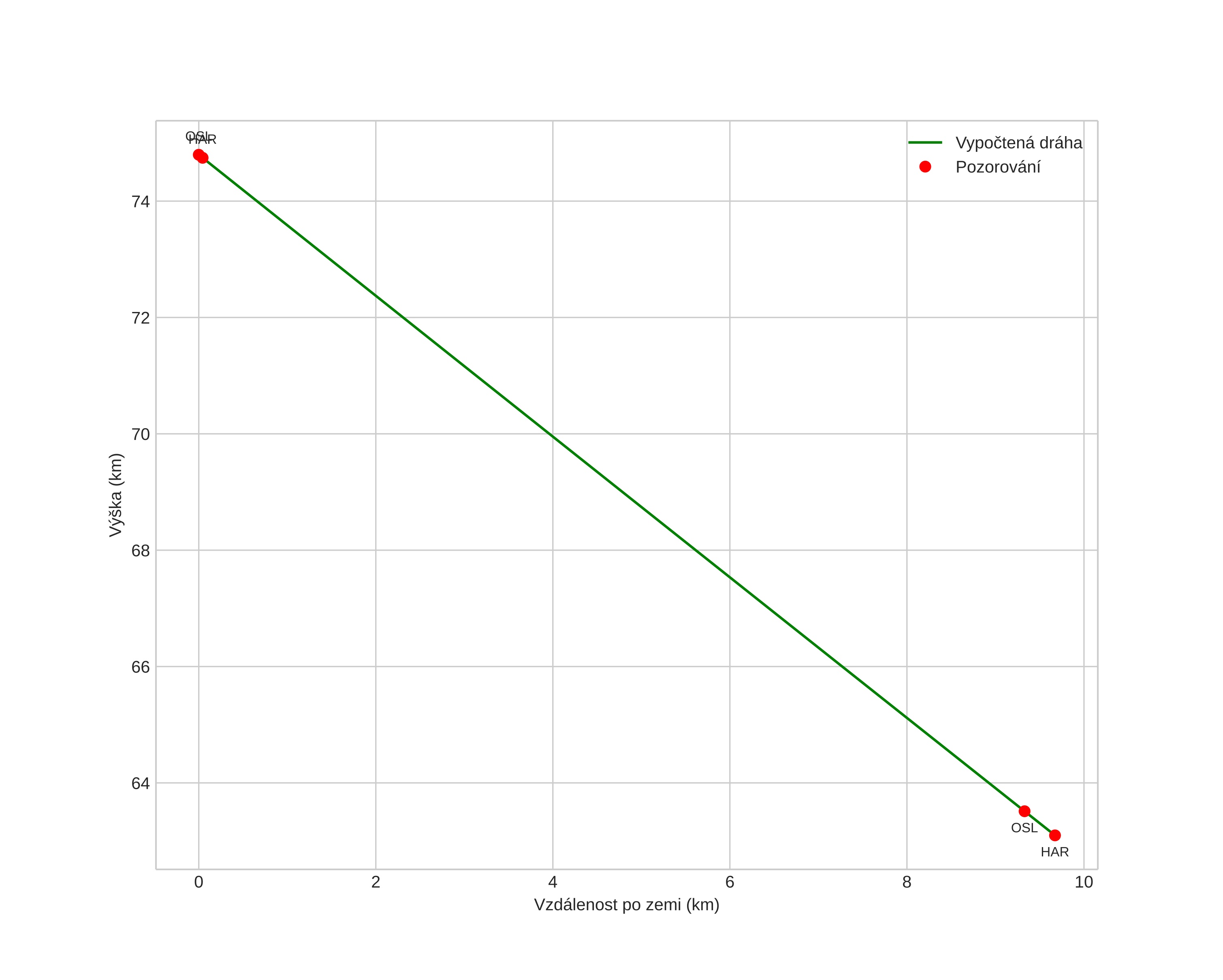
height profile
Atmosférická dráha meteoru:
Počáteční výška: 74,8 km
Konečná výška: 63,1 km
Počáteční poloha: 59,702N 9,998E
Konečná poloha: 59,615N 9,994E
Směr: 181,5°
Sklon: 50,4°
VstupnĂ­ rychlost: 17,4 km/s
Rektascenze radiantu: 11:04 (166,0°)
Deklinace radiantu: 75,6°
MeteorickĂ˝ roj: sporadickĂ˝
Elementy dráhy meteoroidu:
Vzdálenost v periheliu: 0,691 AU
Excentricita: 0,209
Sklon dráhy: 24,9°
Délka vzestupného uzlu: 248,7°
Argument perihelia: 317,3°
Střední anomálie: 240,9°
Epocha: 2016 NOV 30 17:49:02
orbit plot

NeinteraktivnĂ­ graf | InteraktivnĂ­ graf

position vs time
speed and acceleration