🇳🇴 🇬🇧 🇩🇪 🇨🇿 🇫🇮

Meteor Hvittingfossin yllä 2016-11-30 17:49:02 UTC

KML-tiedosto  |  Interaktiivinen kartta

Kartta näyttää meteorin suuntahavainnot. Vaaleammat viivat näyttävät suunnat havaintoasemilta meteorin ilmestyessä, ja tummemmat viivat näyttävät, missä se viimeksi nähtiin. Sininen nuoli näyttää meteorin näkyvän lennon.

static map
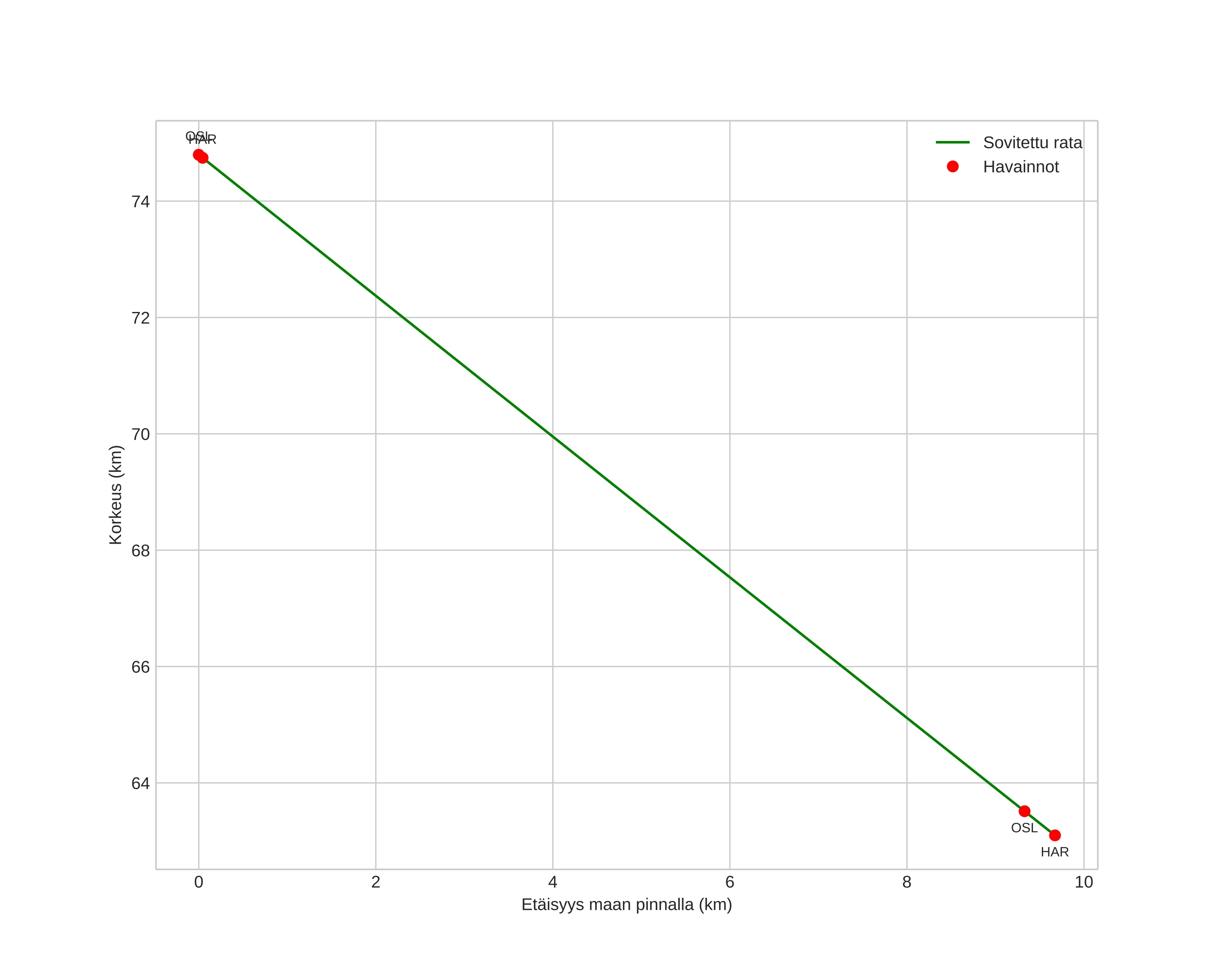
height profile
Meteorin ilmakehärata:
Alkukorkeus: 74,8 km
Loppukorkeus: 63,1 km
Alkupiste: 59,702N 9,998E
Loppupiste: 59,615N 9,994E
Suunta: 181,5°
Kallistuskulma: 50,4°
Tulonopeus: 17,4 km/s
Radiantin R,A,: 11:04 (166,0°)
Radiantin Dekl,: 75,6°
Meteoriparvi: Sporadinen
Meteoroidin rataelementit:
Perihelietäisyys: 0,691 AU
Eksentrisyys: 0,209
Inklinaatio: 24,9°
Nousevan solmun pituus: 248,7°
Perihelin argumentti: 317,3°
Keskianomalia: 240,9°
Epookki: 2016 NOV 30 17:49:02
orbit plot

Ei-interaktiivinen kuvaaja | Interaktiivinen kuvaaja

position vs time
speed and acceleration