🇳🇴 🇬🇧 🇩🇪 🇨🇿 🇫🇮

Meteor, poloha: Dokka 2016-12-01 21:42:27 UTC

Soubor KML  |  InteraktivnĂ­ mapa

Mapa zobrazuje dráhy meteoru. Světlejší čáry ukazují směry od pozorovacích stanic při objevení se meteoru a tmavší čáry, kde byl naposledy viděn. Modrá šipka značí viditelnou dráhu meteoru.

static map
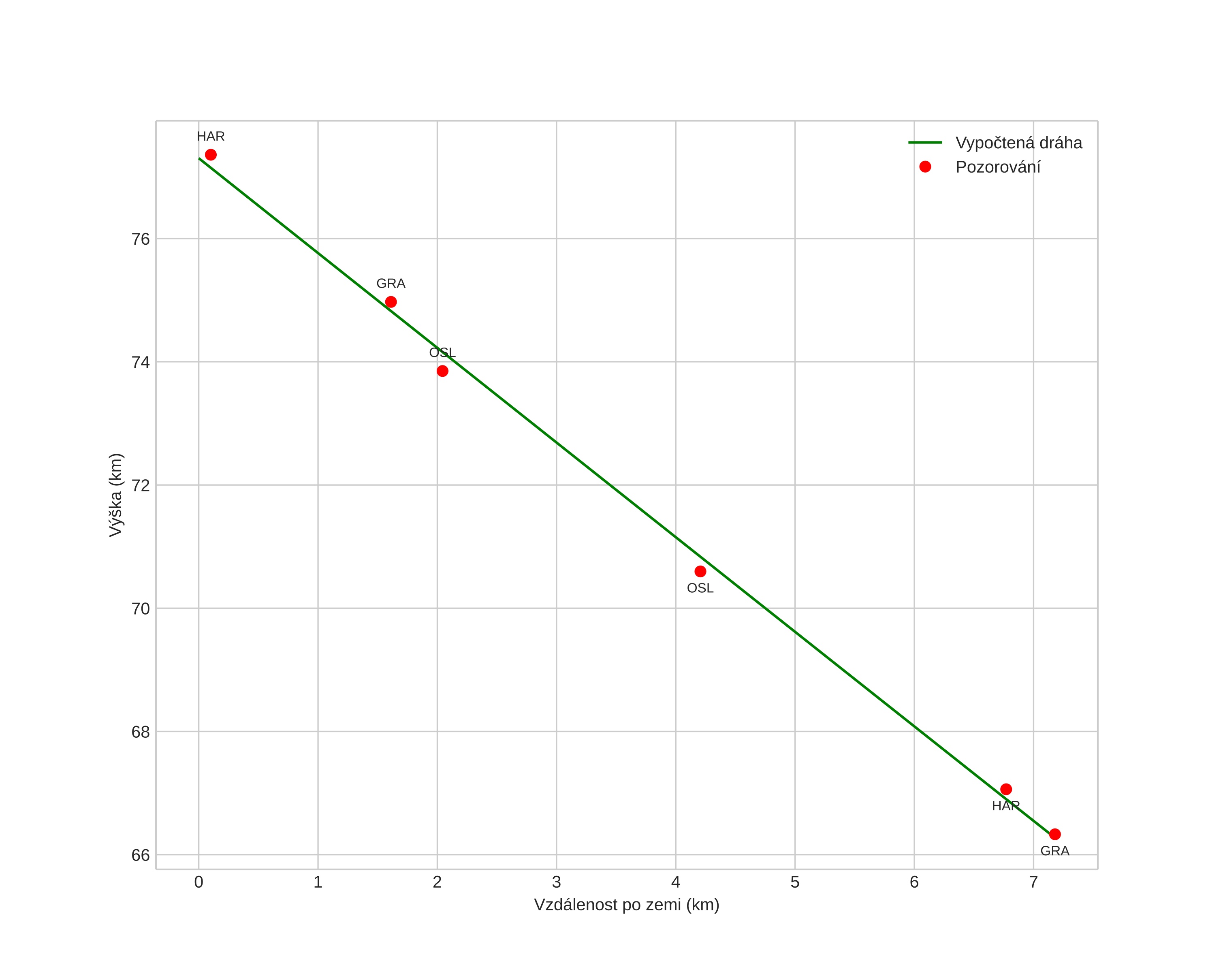
height profile
Atmosférická dráha meteoru:
Počáteční výška: 77,3 km
Konečná výška: 66,3 km
Počáteční poloha: 60,952N 9,974E
Konečná poloha: 60,988N 10,084E
Směr: 56,3°
Sklon: 57,0°
VstupnĂ­ rychlost: 13,6 km/s
Rektascenze radiantu: 00:26 (6,5°)
Deklinace radiantu: 27,5°
MeteorickĂ˝ roj: sporadickĂ˝
Elementy dráhy meteoroidu:
Vzdálenost v periheliu: 0,960 AU
Excentricita: 0,503
Sklon dráhy: 4,9°
Délka vzestupného uzlu: 249,9°
Argument perihelia: 202,8°
Střední anomálie: 353,4°
Epocha: 2016 DEC 01 21:42:27
orbit plot

NeinteraktivnĂ­ graf | InteraktivnĂ­ graf

position vs time
speed and acceleration