🇳🇴 🇬🇧 🇩🇪 🇨🇿 🇫🇮

Meteor Dokkan yllä 2016-12-01 21:42:27 UTC

KML-tiedosto  |  Interaktiivinen kartta

Kartta näyttää meteorin suuntahavainnot. Vaaleammat viivat näyttävät suunnat havaintoasemilta meteorin ilmestyessä, ja tummemmat viivat näyttävät, missä se viimeksi nähtiin. Sininen nuoli näyttää meteorin näkyvän lennon.

static map
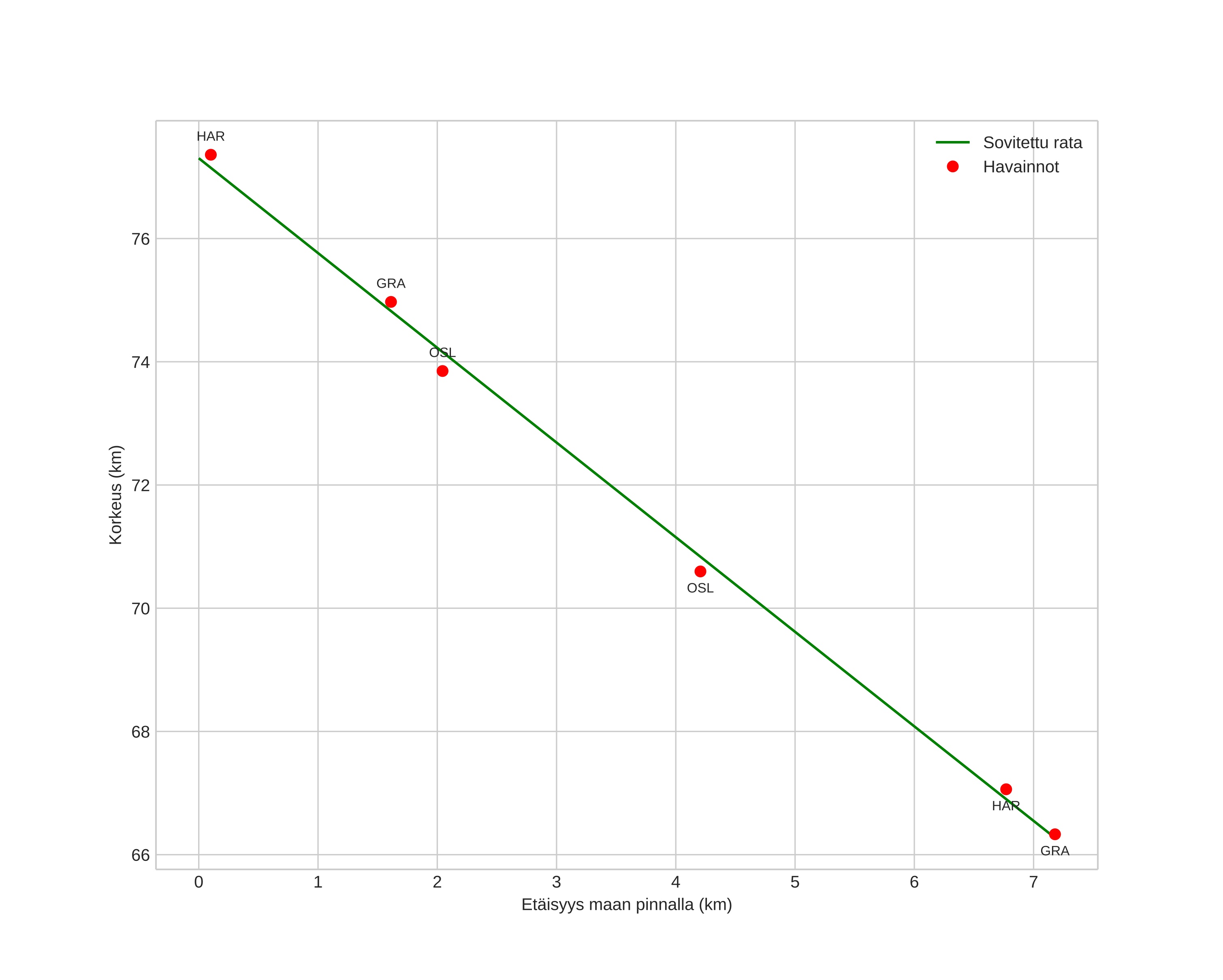
height profile
Meteorin ilmakehärata:
Alkukorkeus: 77,3 km
Loppukorkeus: 66,3 km
Alkupiste: 60,952N 9,974E
Loppupiste: 60,988N 10,084E
Suunta: 56,3°
Kallistuskulma: 57,0°
Tulonopeus: 13,6 km/s
Radiantin R,A,: 00:26 (6,5°)
Radiantin Dekl,: 27,5°
Meteoriparvi: Sporadinen
Meteoroidin rataelementit:
Perihelietäisyys: 0,960 AU
Eksentrisyys: 0,503
Inklinaatio: 4,9°
Nousevan solmun pituus: 249,9°
Perihelin argumentti: 202,8°
Keskianomalia: 353,4°
Epookki: 2016 DEC 01 21:42:27
orbit plot

Ei-interaktiivinen kuvaaja | Interaktiivinen kuvaaja

position vs time
speed and acceleration