🇳🇴 🇬🇧 🇩🇪 🇨🇿 🇫🇮

Meteor, poloha: FosnavĂĄg 2016-12-02 03:52:11 UTC

Soubor KML  |  InteraktivnĂ­ mapa

Mapa zobrazuje dráhy meteoru. Světlejší čáry ukazují směry od pozorovacích stanic při objevení se meteoru a tmavší čáry, kde byl naposledy viděn. Modrá šipka značí viditelnou dráhu meteoru.

static map
height profile
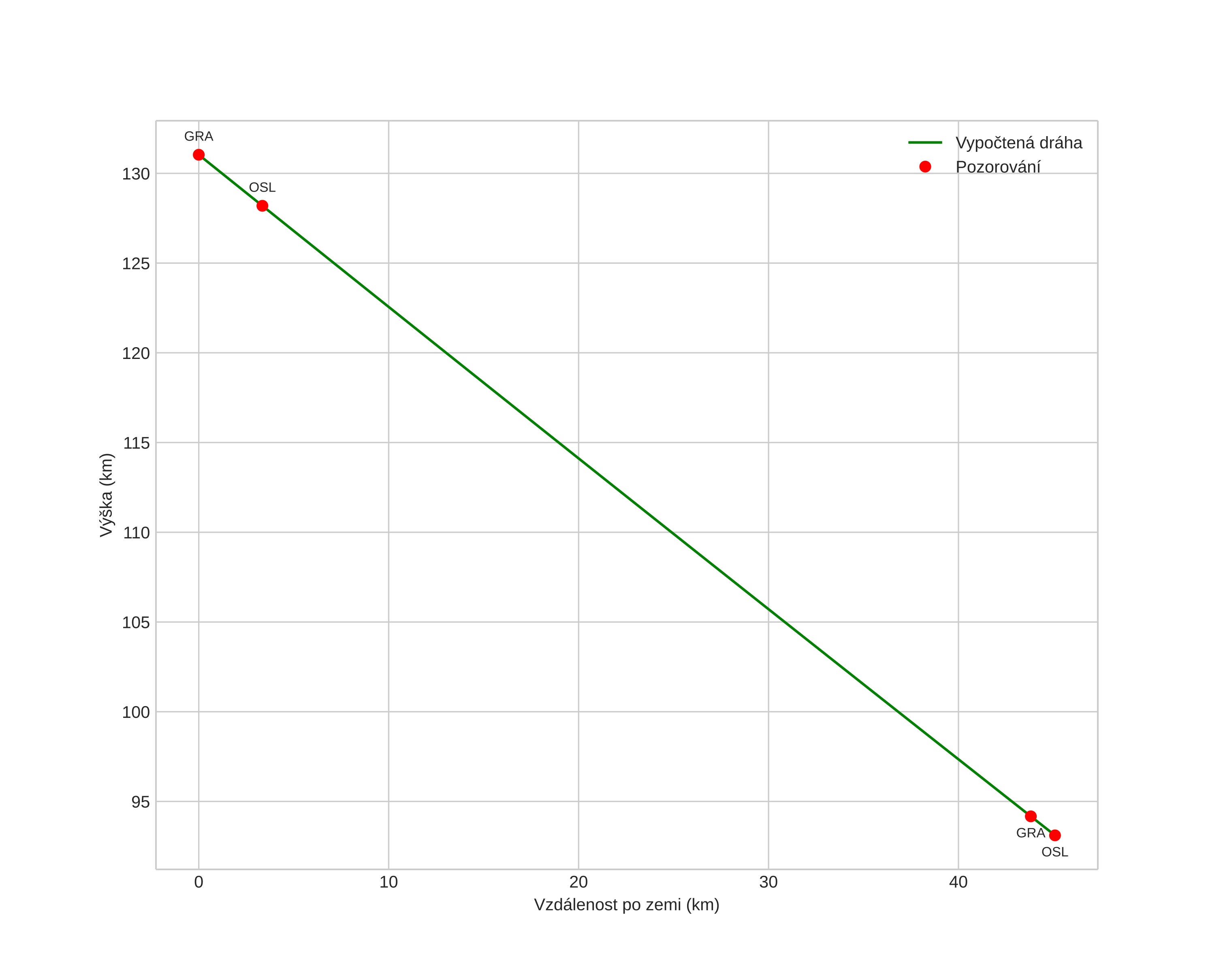
Atmosférická dráha meteoru:
Počáteční výška: 131,0 km
Konečná výška: 93,1 km
Počáteční poloha: 64,609N 3,974E
Konečná poloha: 64,260N 4,450E
Směr: 149,4°
Sklon: 40,1°
VstupnĂ­ rychlost: 32,2 km/s
Rektascenze radiantu: 00:12 (3,1°)
Deklinace radiantu: 57,9°
MeteorickĂ˝ roj: sporadickĂ˝
Elementy dráhy meteoroidu:
Vzdálenost v periheliu: 0,906 AU
Excentricita: 1,748
Sklon dráhy: 29,2°
Délka vzestupného uzlu: 250,2°
Argument perihelia: 209,2°
Střední anomálie: -12,1°
Epocha: 2016 DEC 02 03:52:11
orbit plot

NeinteraktivnĂ­ graf | InteraktivnĂ­ graf

position vs time
speed and acceleration