🇳🇴 🇬🇧 🇩🇪 🇨🇿 🇫🇮

Meteor Fosnavågin yllä 2016-12-02 03:52:11 UTC

KML-tiedosto  |  Interaktiivinen kartta

Kartta näyttää meteorin suuntahavainnot. Vaaleammat viivat näyttävät suunnat havaintoasemilta meteorin ilmestyessä, ja tummemmat viivat näyttävät, missä se viimeksi nähtiin. Sininen nuoli näyttää meteorin näkyvän lennon.

static map
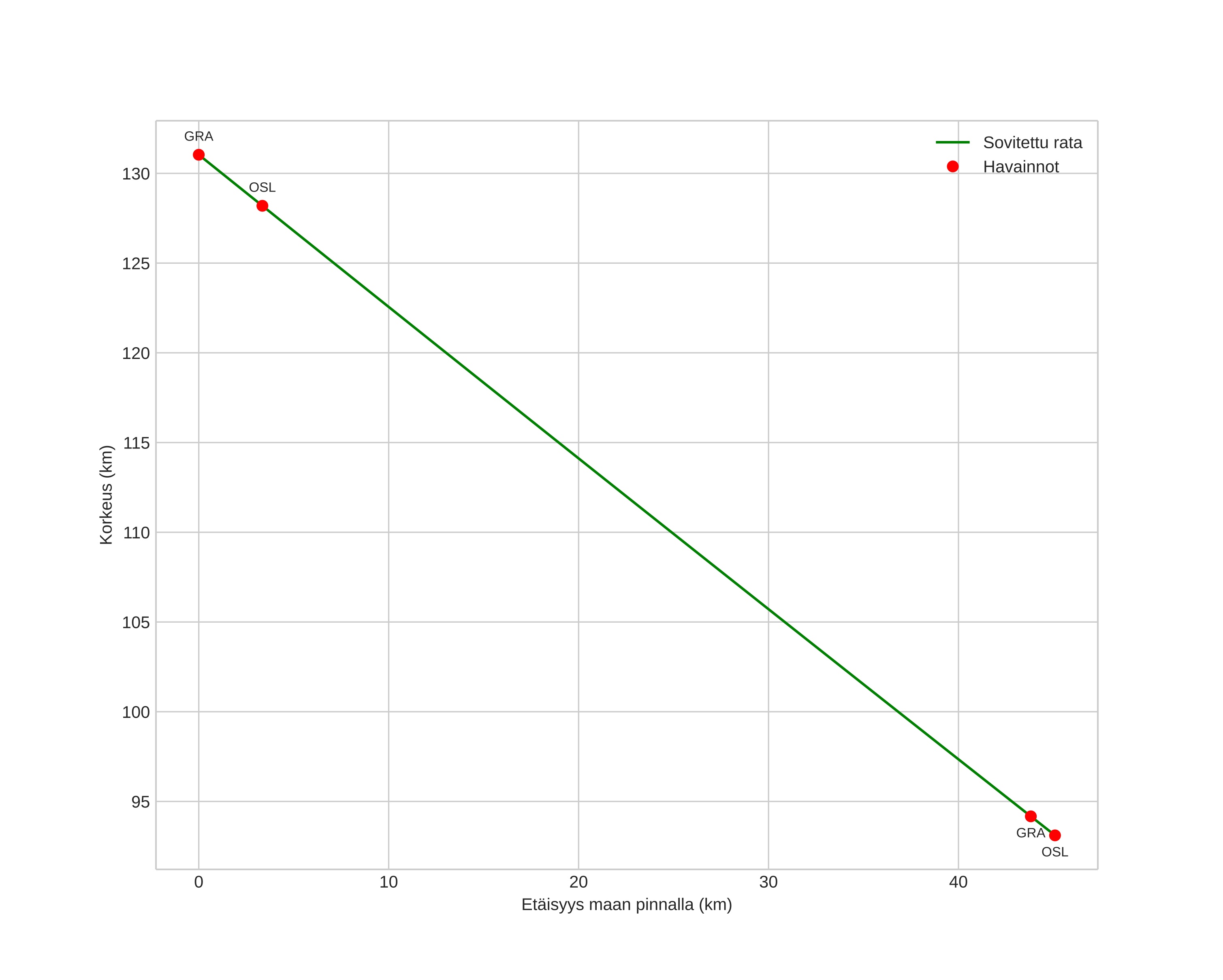
height profile
Meteorin ilmakehärata:
Alkukorkeus: 131,0 km
Loppukorkeus: 93,1 km
Alkupiste: 64,609N 3,974E
Loppupiste: 64,260N 4,450E
Suunta: 149,4°
Kallistuskulma: 40,1°
Tulonopeus: 32,2 km/s
Radiantin R,A,: 00:12 (3,1°)
Radiantin Dekl,: 57,9°
Meteoriparvi: Sporadinen
Meteoroidin rataelementit:
Perihelietäisyys: 0,906 AU
Eksentrisyys: 1,748
Inklinaatio: 29,2°
Nousevan solmun pituus: 250,2°
Perihelin argumentti: 209,2°
Keskianomalia: -12,1°
Epookki: 2016 DEC 02 03:52:11
orbit plot

Ei-interaktiivinen kuvaaja | Interaktiivinen kuvaaja

position vs time
speed and acceleration