🇳🇴 🇬🇧 🇩🇪 🇨🇿 🇫🇮

Meteor, poloha: Bjørkelangen 2016-12-02 05:14:30 UTC

Soubor KML  |  InteraktivnĂ­ mapa

Mapa zobrazuje dráhy meteoru. Světlejší čáry ukazují směry od pozorovacích stanic při objevení se meteoru a tmavší čáry, kde byl naposledy viděn. Modrá šipka značí viditelnou dráhu meteoru.

static map
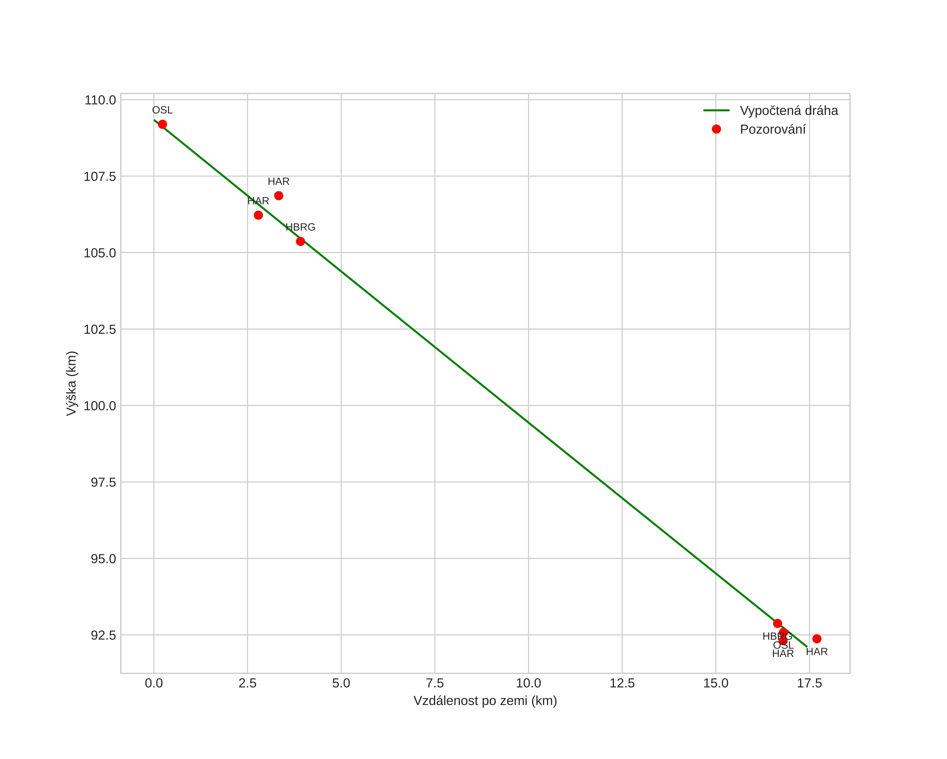
height profile
Atmosférická dráha meteoru:
Počáteční výška: 109,3 km
Konečná výška: 92,1 km
Počáteční poloha: 59,645N 11,681E
Konečná poloha: 59,802N 11,688E
Směr: 1,3°
Sklon: 44,6°
VstupnĂ­ rychlost: 68,2 km/s
Rektascenze radiantu: 10:41 (160,3°)
Deklinace radiantu: 13,9°
MeteorickĂ˝ roj: sporadickĂ˝
Elementy dráhy meteoroidu:
Vzdálenost v periheliu: 0,966 AU
Excentricita: 0,571
Sklon dráhy: 170,5°
Délka vzestupného uzlu: 250,2°
Argument perihelia: 199,3°
Střední anomálie: 355,6°
Epocha: 2016 DEC 02 05:14:30
orbit plot

NeinteraktivnĂ­ graf | InteraktivnĂ­ graf

position vs time
speed and acceleration