🇳🇴 🇬🇧 🇩🇪 🇨🇿 🇫🇮

Meteor Bjørkelangenin yllä 2016-12-02 05:14:30 UTC

KML-tiedosto  |  Interaktiivinen kartta

Kartta näyttää meteorin suuntahavainnot. Vaaleammat viivat näyttävät suunnat havaintoasemilta meteorin ilmestyessä, ja tummemmat viivat näyttävät, missä se viimeksi nähtiin. Sininen nuoli näyttää meteorin näkyvän lennon.

static map
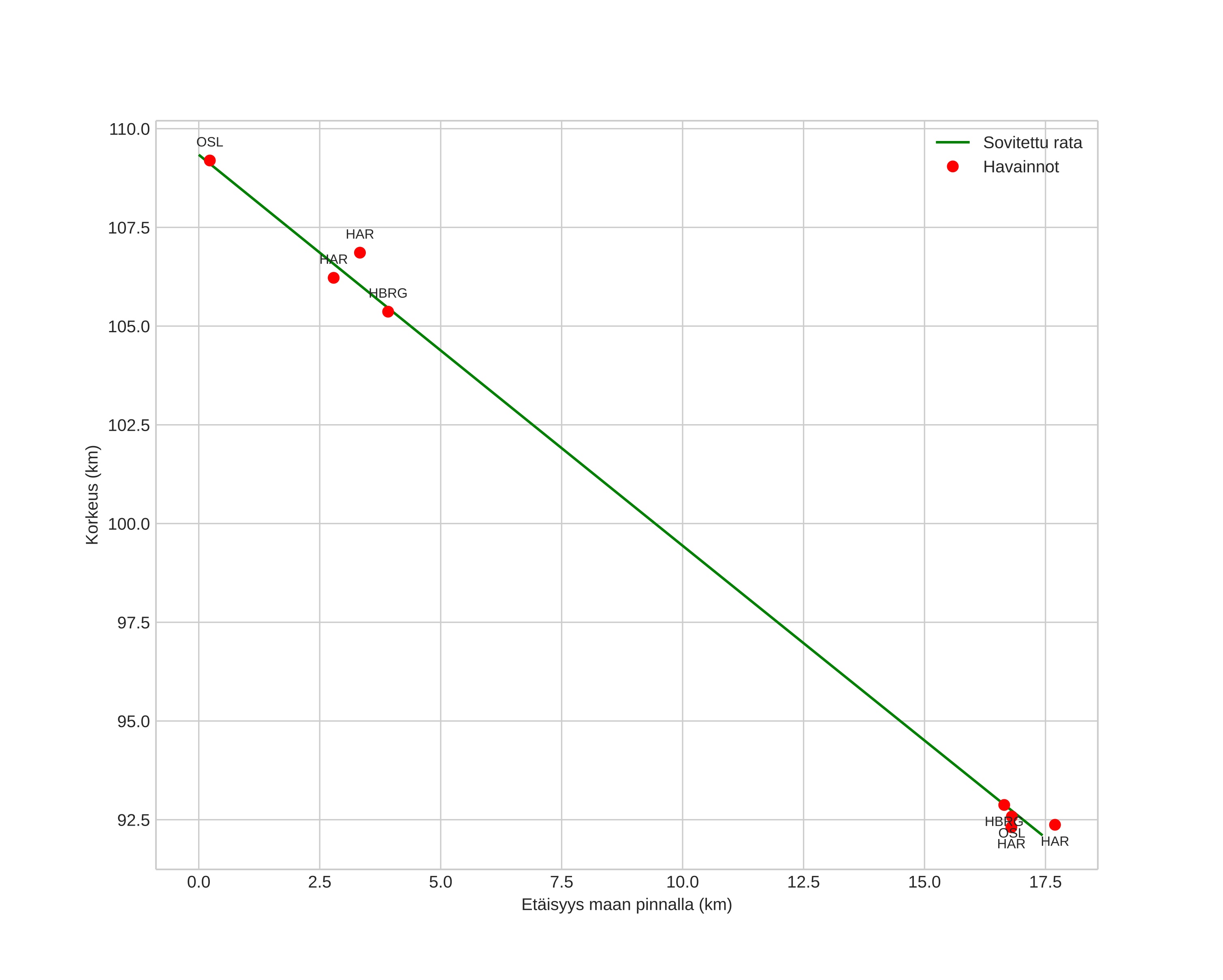
height profile
Meteorin ilmakehärata:
Alkukorkeus: 109,3 km
Loppukorkeus: 92,1 km
Alkupiste: 59,645N 11,681E
Loppupiste: 59,802N 11,688E
Suunta: 1,3°
Kallistuskulma: 44,6°
Tulonopeus: 68,2 km/s
Radiantin R,A,: 10:41 (160,3°)
Radiantin Dekl,: 13,9°
Meteoriparvi: Sporadinen
Meteoroidin rataelementit:
Perihelietäisyys: 0,966 AU
Eksentrisyys: 0,571
Inklinaatio: 170,5°
Nousevan solmun pituus: 250,2°
Perihelin argumentti: 199,3°
Keskianomalia: 355,6°
Epookki: 2016 DEC 02 05:14:30
orbit plot

Ei-interaktiivinen kuvaaja | Interaktiivinen kuvaaja

position vs time
speed and acceleration