🇳🇴 🇬🇧 🇩🇪 🇨🇿 🇫🇮

Meteor, poloha: Hagfors 2016-12-06 03:55:23 UTC

Soubor KML  |  InteraktivnĂ­ mapa

Mapa zobrazuje dráhy meteoru. Světlejší čáry ukazují směry od pozorovacích stanic při objevení se meteoru a tmavší čáry, kde byl naposledy viděn. Modrá šipka značí viditelnou dráhu meteoru.

static map
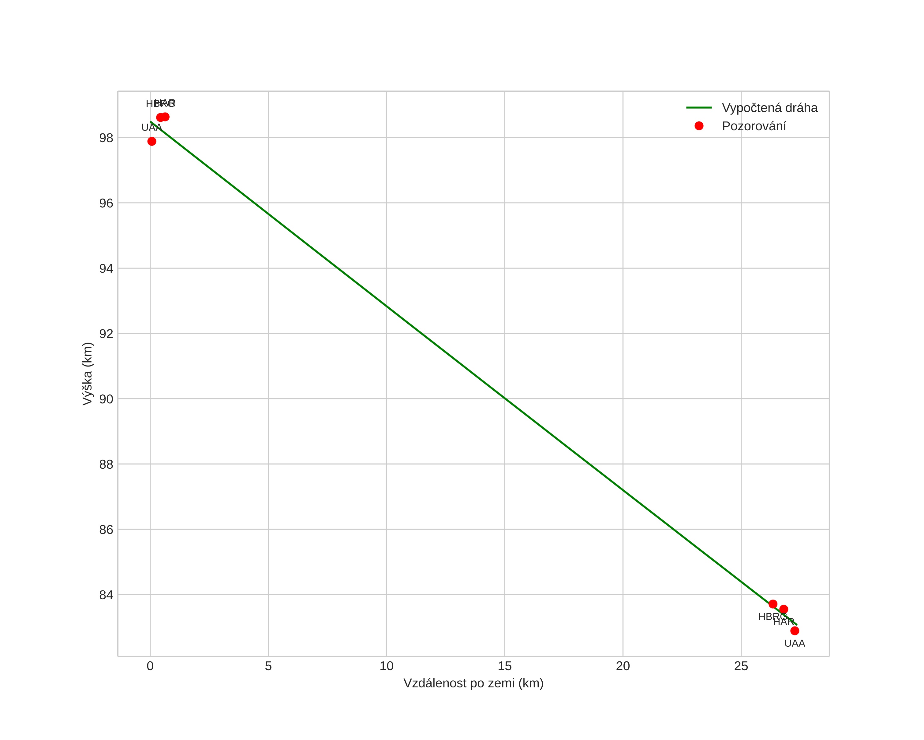
height profile
Atmosférická dráha meteoru:
Počáteční výška: 98,5 km
Konečná výška: 83,1 km
Počáteční poloha: 59,921N 13,200E
Konečná poloha: 60,058N 13,609E
Směr: 55,9°
Sklon: 29,4°
VstupnĂ­ rychlost: 43,2 km/s
Rektascenze radiantu: 06:36 (99,2°)
Deklinace radiantu: 9,3°
MeteorickĂ˝ roj: Monocerotidy
Elementy dráhy meteoroidu:
Vzdálenost v periheliu: 0,148 AU
Excentricita: 0,974
Sklon dráhy: 38,0°
Délka vzestupného uzlu: 74,2°
Argument perihelia: 136,2°
Střední anomálie: 357,6°
Epocha: 2016 DEC 06 03:55:23
orbit plot

NeinteraktivnĂ­ graf | InteraktivnĂ­ graf

position vs time
speed and acceleration