🇳🇴 🇬🇧 🇩🇪 🇨🇿 🇫🇮

Meteor Hagforsin yllä 2016-12-06 03:55:23 UTC

KML-tiedosto  |  Interaktiivinen kartta

Kartta näyttää meteorin suuntahavainnot. Vaaleammat viivat näyttävät suunnat havaintoasemilta meteorin ilmestyessä, ja tummemmat viivat näyttävät, missä se viimeksi nähtiin. Sininen nuoli näyttää meteorin näkyvän lennon.

static map
height profile
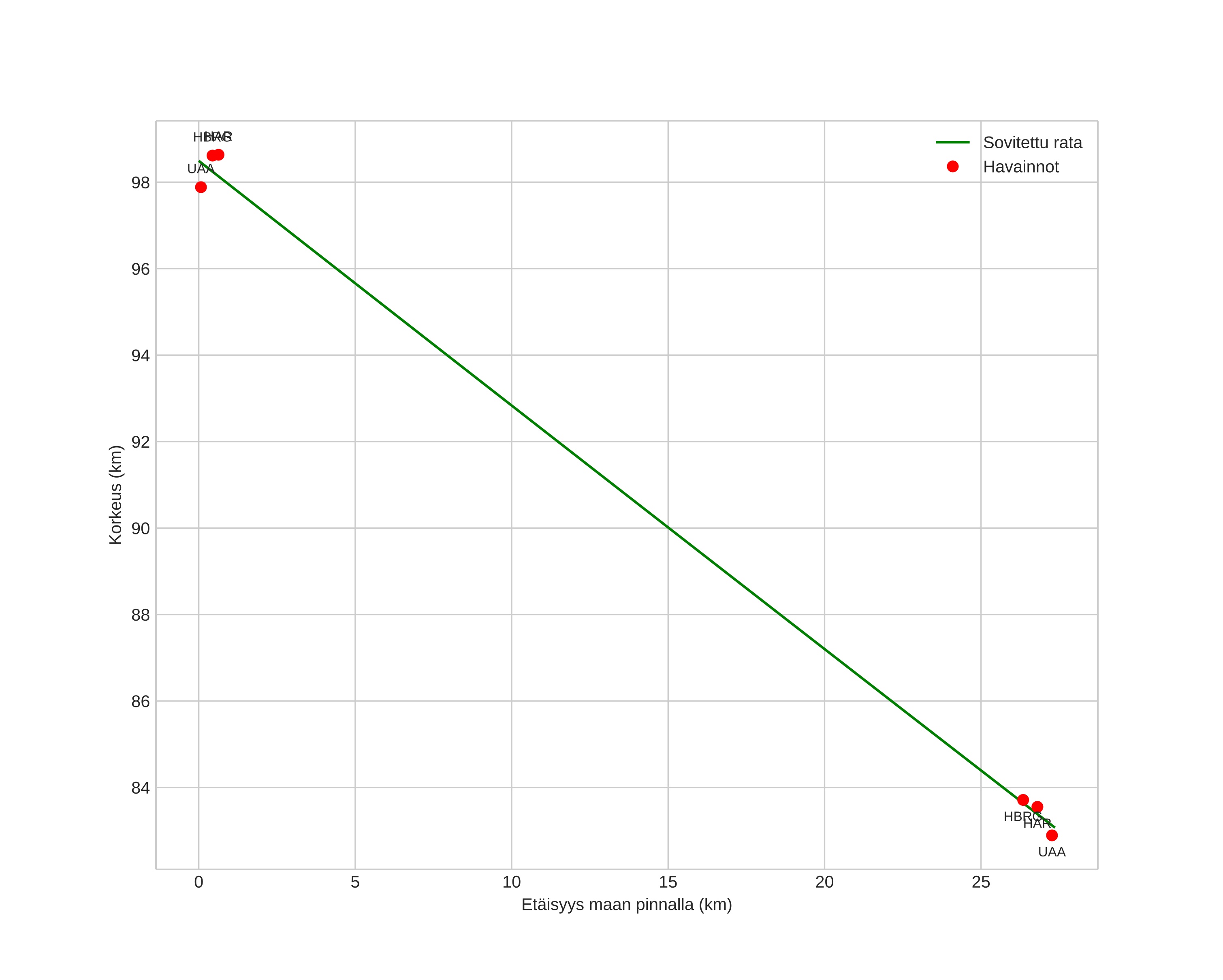
Meteorin ilmakehärata:
Alkukorkeus: 98,5 km
Loppukorkeus: 83,1 km
Alkupiste: 59,921N 13,200E
Loppupiste: 60,058N 13,609E
Suunta: 55,9°
Kallistuskulma: 29,4°
Tulonopeus: 43,2 km/s
Radiantin R,A,: 06:36 (99,2°)
Radiantin Dekl,: 9,3°
Meteoriparvi: Monoserotidit
Meteoroidin rataelementit:
Perihelietäisyys: 0,148 AU
Eksentrisyys: 0,974
Inklinaatio: 38,0°
Nousevan solmun pituus: 74,2°
Perihelin argumentti: 136,2°
Keskianomalia: 357,6°
Epookki: 2016 DEC 06 03:55:23
orbit plot

Ei-interaktiivinen kuvaaja | Interaktiivinen kuvaaja

position vs time
speed and acceleration