🇳🇴 🇬🇧 🇩🇪 🇨🇿 🇫🇮

Meteor, poloha: Tjøme 2016-12-12 19:19:59 UTC

Soubor KML  |  InteraktivnĂ­ mapa

Mapa zobrazuje dráhy meteoru. Světlejší čáry ukazují směry od pozorovacích stanic při objevení se meteoru a tmavší čáry, kde byl naposledy viděn. Modrá šipka značí viditelnou dráhu meteoru.

static map
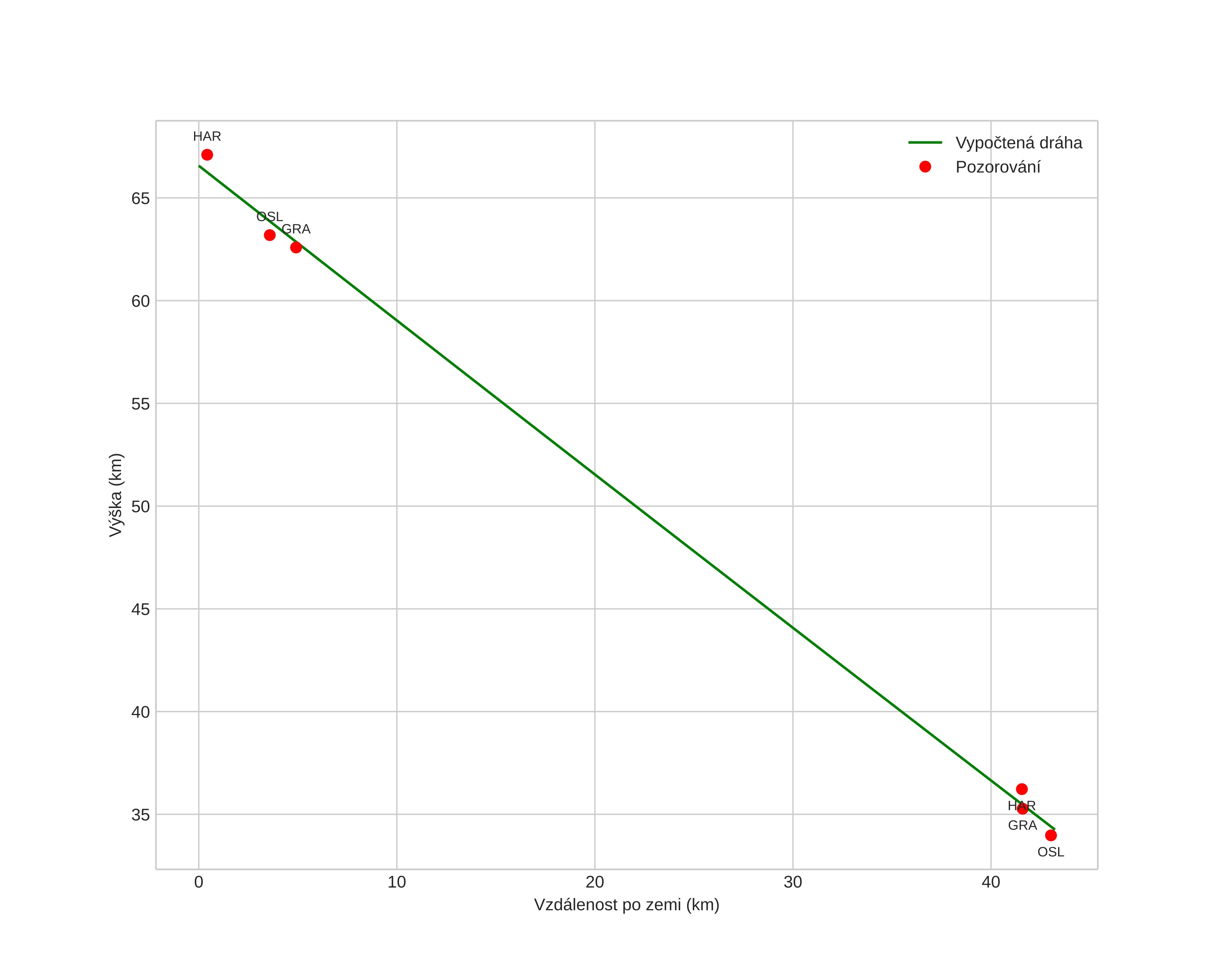
height profile
Atmosférická dráha meteoru:
Počáteční výška: 66,6 km
Konečná výška: 34,3 km
Počáteční poloha: 58,640N 10,805E
Konečná poloha: 58,941N 10,329E
Směr: 320,9°
Sklon: 36,8°
VstupnĂ­ rychlost: 15,0 km/s
Rektascenze radiantu: 03:45 (56,3°)
Deklinace radiantu: -0,0°
MeteorickĂ˝ roj: sporadickĂ˝
Elementy dráhy meteoroidu:
Vzdálenost v periheliu: 0,894 AU
Excentricita: 0,466
Sklon dráhy: 5,4°
Délka vzestupného uzlu: 81,0°
Argument perihelia: 44,6°
Střední anomálie: 344,6°
Epocha: 2016 DEC 12 19:19:59
orbit plot

NeinteraktivnĂ­ graf | InteraktivnĂ­ graf

position vs time
speed and acceleration