🇳🇴 🇬🇧 🇩🇪 🇨🇿 🇫🇮

Meteor Tjømen yllä 2016-12-12 19:19:59 UTC

KML-tiedosto  |  Interaktiivinen kartta

Kartta näyttää meteorin suuntahavainnot. Vaaleammat viivat näyttävät suunnat havaintoasemilta meteorin ilmestyessä, ja tummemmat viivat näyttävät, missä se viimeksi nähtiin. Sininen nuoli näyttää meteorin näkyvän lennon.

static map
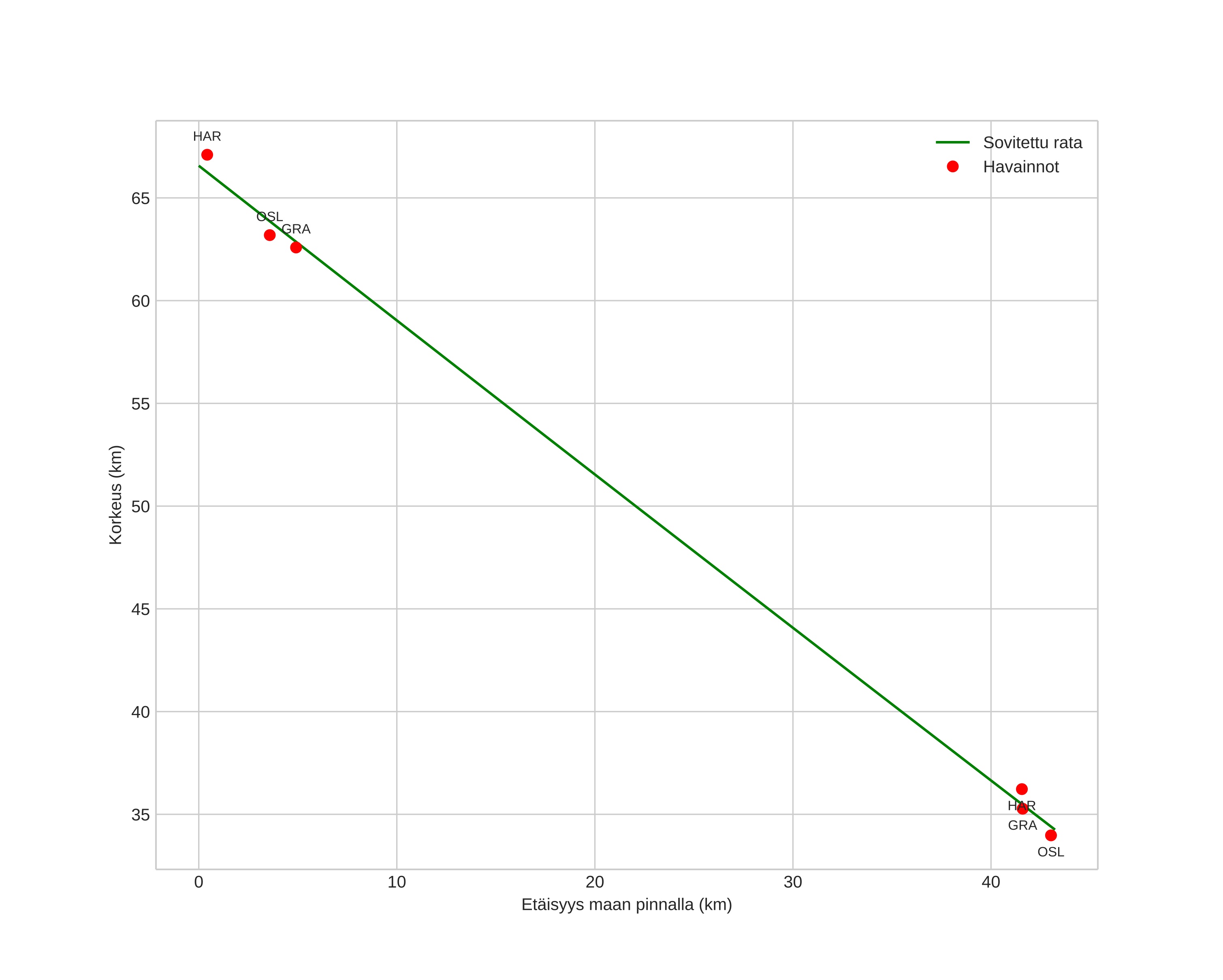
height profile
Meteorin ilmakehärata:
Alkukorkeus: 66,6 km
Loppukorkeus: 34,3 km
Alkupiste: 58,640N 10,805E
Loppupiste: 58,941N 10,329E
Suunta: 320,9°
Kallistuskulma: 36,8°
Tulonopeus: 15,0 km/s
Radiantin R,A,: 03:45 (56,3°)
Radiantin Dekl,: -0,0°
Meteoriparvi: Sporadinen
Meteoroidin rataelementit:
Perihelietäisyys: 0,894 AU
Eksentrisyys: 0,466
Inklinaatio: 5,4°
Nousevan solmun pituus: 81,0°
Perihelin argumentti: 44,6°
Keskianomalia: 344,6°
Epookki: 2016 DEC 12 19:19:59
orbit plot

Ei-interaktiivinen kuvaaja | Interaktiivinen kuvaaja

position vs time
speed and acceleration