🇳🇴 🇬🇧 🇩🇪 🇨🇿 🇫🇮

Meteor, poloha: Tonstad 2016-12-13 19:51:28 UTC

Soubor KML  |  InteraktivnĂ­ mapa

Mapa zobrazuje dráhy meteoru. Světlejší čáry ukazují směry od pozorovacích stanic při objevení se meteoru a tmavší čáry, kde byl naposledy viděn. Modrá šipka značí viditelnou dráhu meteoru.

static map
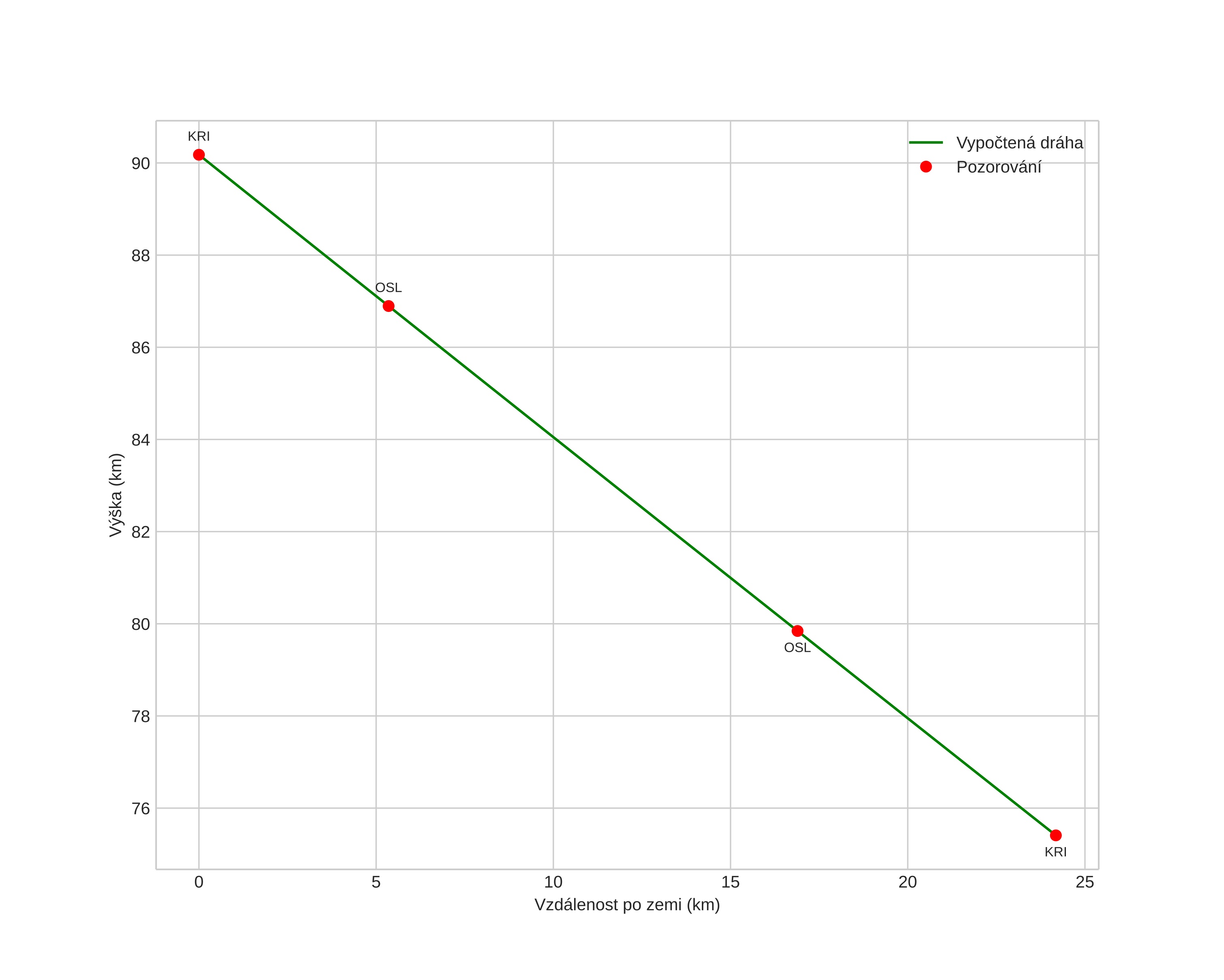
height profile
Atmosférická dráha meteoru:
Počáteční výška: 90,2 km
Konečná výška: 75,4 km
Počáteční poloha: 59,264N 7,301E
Konečná poloha: 59,208N 6,890E
Směr: 255,4°
Sklon: 31,5°
VstupnĂ­ rychlost: 34,5 km/s
Rektascenze radiantu: 07:32 (113,2°)
Deklinace radiantu: 32,8°
MeteorickĂ˝ roj: Geminidy
Elementy dráhy meteoroidu:
Vzdálenost v periheliu: 0,161 AU
Excentricita: 0,869
Sklon dráhy: 21,7°
Délka vzestupného uzlu: 262,0°
Argument perihelia: 323,0°
Střední anomálie: 331,7°
Epocha: 2016 DEC 13 19:51:28
orbit plot

NeinteraktivnĂ­ graf | InteraktivnĂ­ graf

position vs time
speed and acceleration