🇳🇴 🇬🇧 🇩🇪 🇨🇿 🇫🇮

Meteor Tonstadin yllä 2016-12-13 19:51:28 UTC

KML-tiedosto  |  Interaktiivinen kartta

Kartta näyttää meteorin suuntahavainnot. Vaaleammat viivat näyttävät suunnat havaintoasemilta meteorin ilmestyessä, ja tummemmat viivat näyttävät, missä se viimeksi nähtiin. Sininen nuoli näyttää meteorin näkyvän lennon.

static map
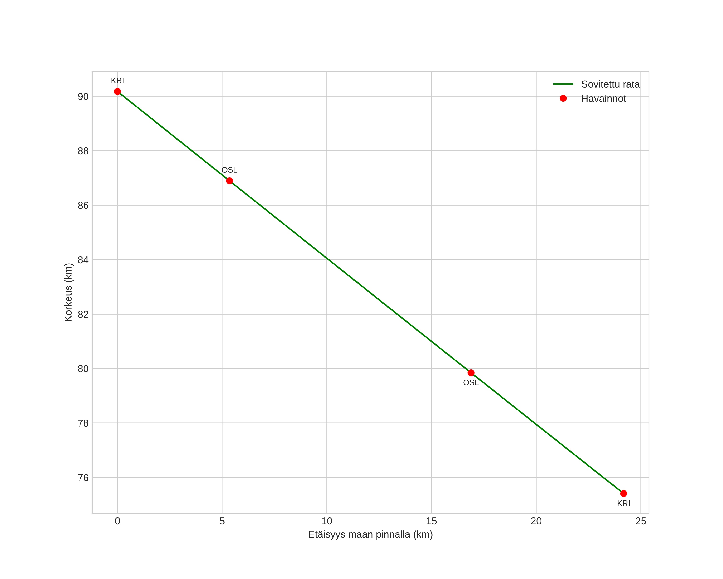
height profile
Meteorin ilmakehärata:
Alkukorkeus: 90,2 km
Loppukorkeus: 75,4 km
Alkupiste: 59,264N 7,301E
Loppupiste: 59,208N 6,890E
Suunta: 255,4°
Kallistuskulma: 31,5°
Tulonopeus: 34,5 km/s
Radiantin R,A,: 07:32 (113,2°)
Radiantin Dekl,: 32,8°
Meteoriparvi: Geminidit
Meteoroidin rataelementit:
Perihelietäisyys: 0,161 AU
Eksentrisyys: 0,869
Inklinaatio: 21,7°
Nousevan solmun pituus: 262,0°
Perihelin argumentti: 323,0°
Keskianomalia: 331,7°
Epookki: 2016 DEC 13 19:51:28
orbit plot

Ei-interaktiivinen kuvaaja | Interaktiivinen kuvaaja

position vs time
speed and acceleration