🇳🇴 🇬🇧 🇩🇪 🇨🇿 🇫🇮

Meteor, poloha: Torsby 2016-12-13 21:40:09 UTC

Soubor KML  |  InteraktivnĂ­ mapa

Mapa zobrazuje dráhy meteoru. Světlejší čáry ukazují směry od pozorovacích stanic při objevení se meteoru a tmavší čáry, kde byl naposledy viděn. Modrá šipka značí viditelnou dráhu meteoru.

static map
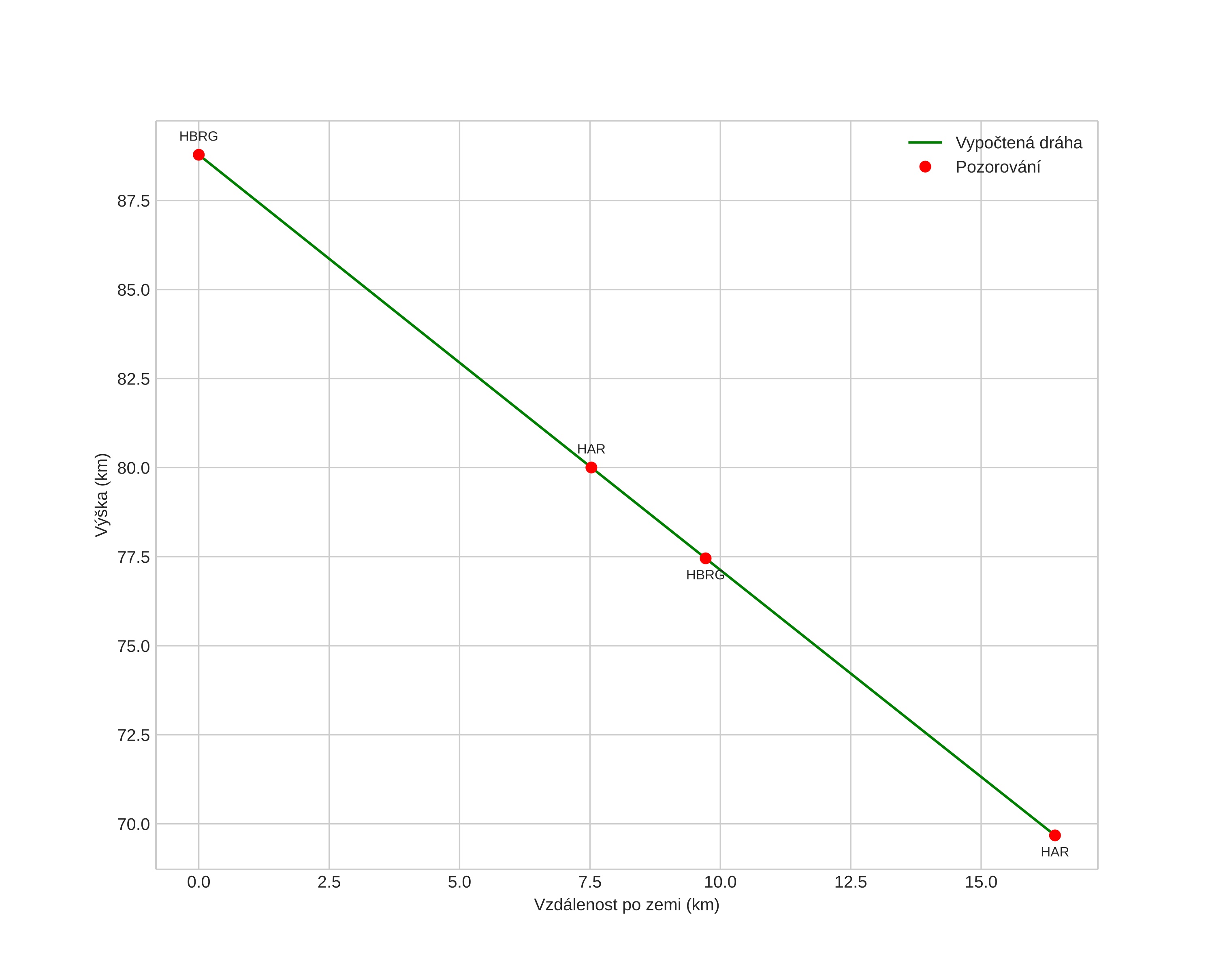
height profile
Atmosférická dráha meteoru:
Počáteční výška: 88,8 km
Konečná výška: 69,7 km
Počáteční poloha: 59,949N 13,281E
Konečná poloha: 59,988N 12,996E
Směr: 285,3°
Sklon: 49,3°
VstupnĂ­ rychlost: 29,1 km/s
Rektascenze radiantu: 07:26 (111,6°)
Deklinace radiantu: 33,6°
MeteorickĂ˝ roj: Geminidy
Elementy dráhy meteoroidu:
Vzdálenost v periheliu: 0,232 AU
Excentricita: 0,774
Sklon dráhy: 15,9°
Délka vzestupného uzlu: 262,1°
Argument perihelia: 318,7°
Střední anomálie: 317,3°
Epocha: 2016 DEC 13 21:40:09
orbit plot

NeinteraktivnĂ­ graf | InteraktivnĂ­ graf

position vs time
speed and acceleration