🇳🇴 🇬🇧 🇩🇪 🇨🇿 🇫🇮

Meteor Torsbyn yllä 2016-12-13 21:40:09 UTC

KML-tiedosto  |  Interaktiivinen kartta

Kartta näyttää meteorin suuntahavainnot. Vaaleammat viivat näyttävät suunnat havaintoasemilta meteorin ilmestyessä, ja tummemmat viivat näyttävät, missä se viimeksi nähtiin. Sininen nuoli näyttää meteorin näkyvän lennon.

static map
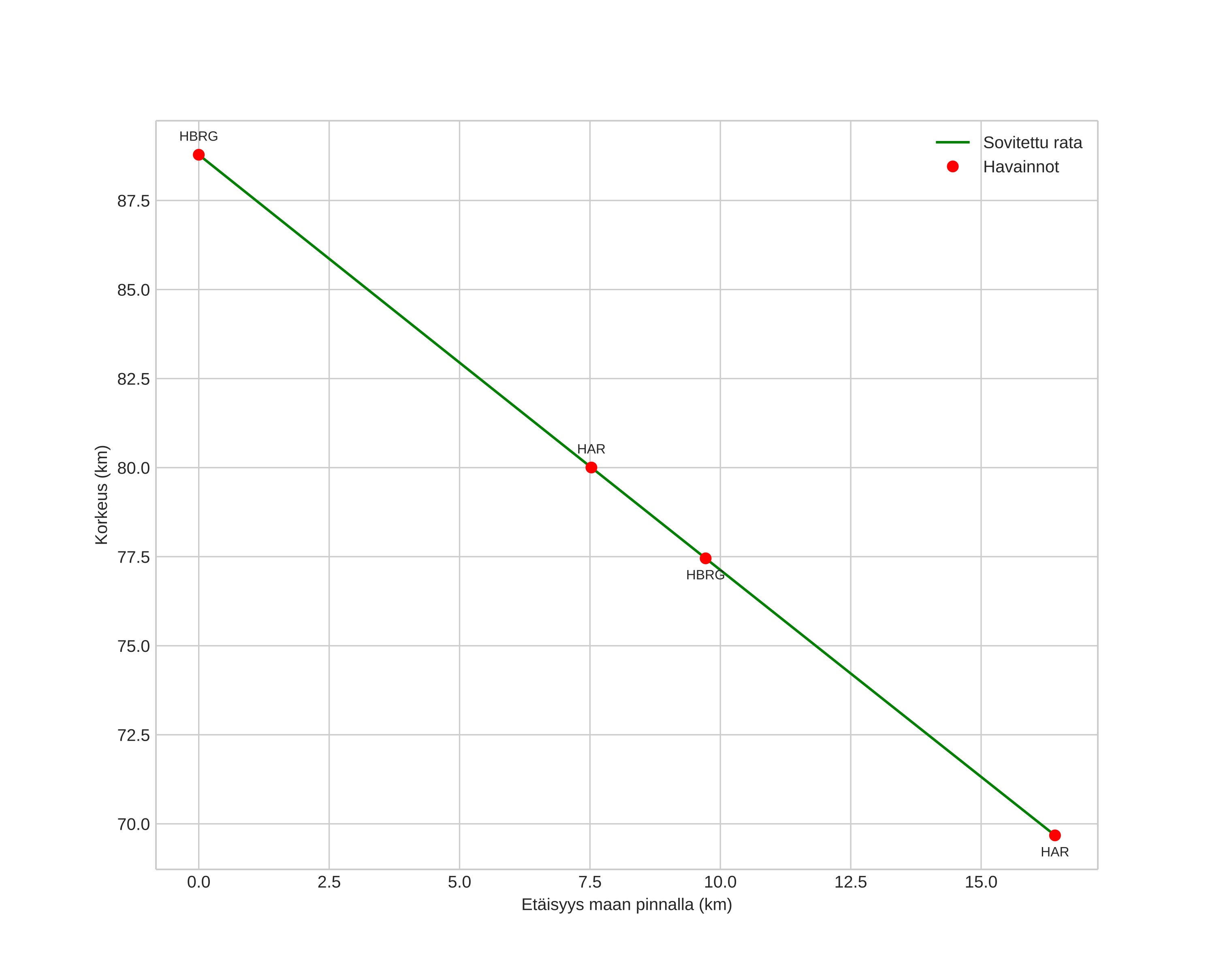
height profile
Meteorin ilmakehärata:
Alkukorkeus: 88,8 km
Loppukorkeus: 69,7 km
Alkupiste: 59,949N 13,281E
Loppupiste: 59,988N 12,996E
Suunta: 285,3°
Kallistuskulma: 49,3°
Tulonopeus: 29,1 km/s
Radiantin R,A,: 07:26 (111,6°)
Radiantin Dekl,: 33,6°
Meteoriparvi: Geminidit
Meteoroidin rataelementit:
Perihelietäisyys: 0,232 AU
Eksentrisyys: 0,774
Inklinaatio: 15,9°
Nousevan solmun pituus: 262,1°
Perihelin argumentti: 318,7°
Keskianomalia: 317,3°
Epookki: 2016 DEC 13 21:40:09
orbit plot

Ei-interaktiivinen kuvaaja | Interaktiivinen kuvaaja

position vs time
speed and acceleration