🇳🇴 🇬🇧 🇩🇪 🇨🇿 🇫🇮

Meteor, poloha: Hauge i Dalane 2016-12-13 22:48:40 UTC

Soubor KML  |  InteraktivnĂ­ mapa

Mapa zobrazuje dráhy meteoru. Světlejší čáry ukazují směry od pozorovacích stanic při objevení se meteoru a tmavší čáry, kde byl naposledy viděn. Modrá šipka značí viditelnou dráhu meteoru.

static map
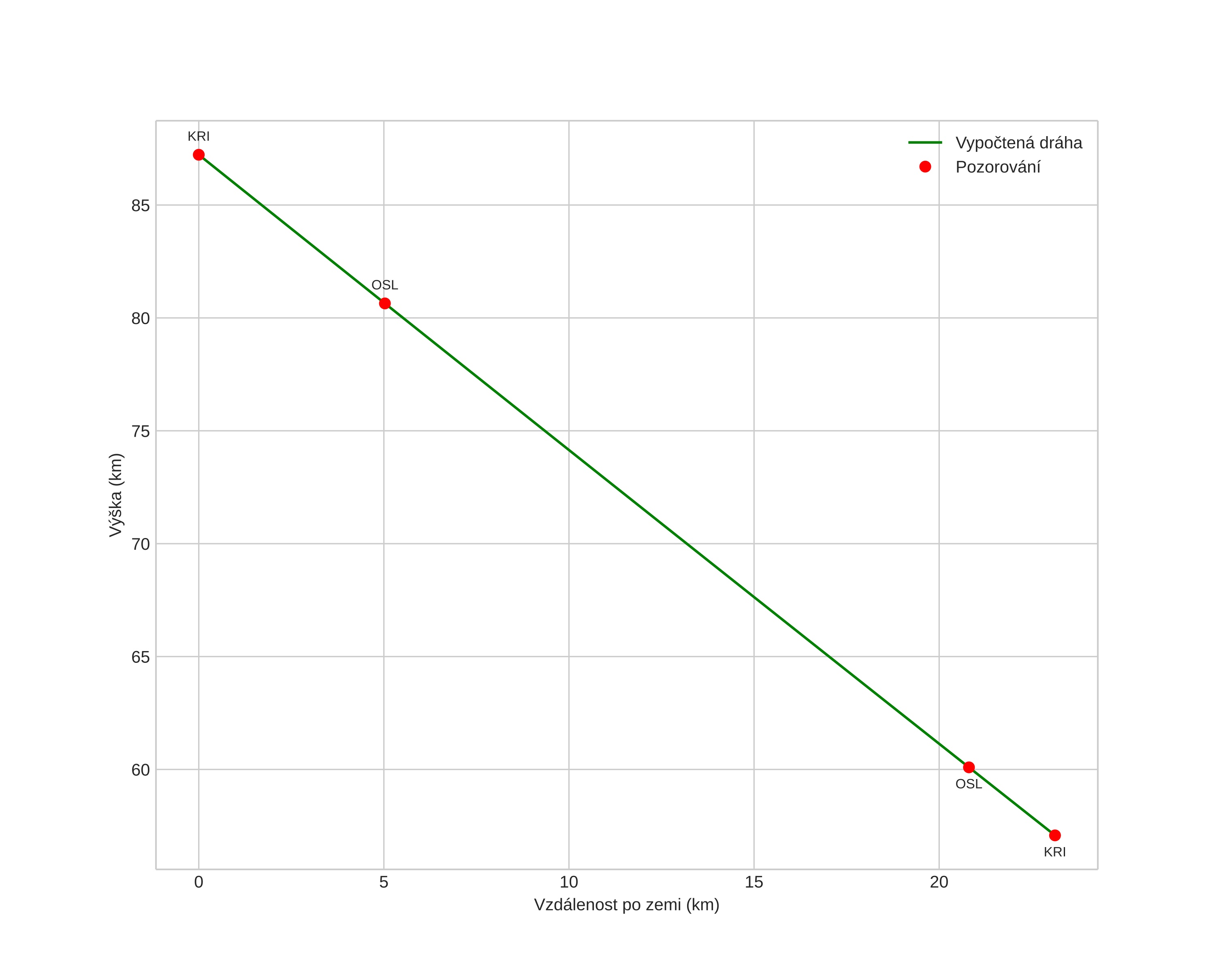
height profile
Atmosférická dráha meteoru:
Počáteční výška: 87,2 km
Konečná výška: 57,1 km
Počáteční poloha: 58,096N 6,567E
Konečná poloha: 58,177N 6,204E
Směr: 293,0°
Sklon: 52,5°
VstupnĂ­ rychlost: 37,1 km/s
Rektascenze radiantu: 07:34 (113,7°)
Deklinace radiantu: 32,5°
MeteorickĂ˝ roj: Geminidy
Elementy dráhy meteoroidu:
Vzdálenost v periheliu: 0,136 AU
Excentricita: 0,905
Sklon dráhy: 25,2°
Délka vzestupného uzlu: 262,1°
Argument perihelia: 324,5°
Střední anomálie: 338,9°
Epocha: 2016 DEC 13 22:48:40
orbit plot

NeinteraktivnĂ­ graf | InteraktivnĂ­ graf

position vs time
speed and acceleration