🇳🇴 🇬🇧 🇩🇪 🇨🇿 🇫🇮

Meteor Hauge i Dalanen yllä 2016-12-13 22:48:40 UTC

KML-tiedosto  |  Interaktiivinen kartta

Kartta näyttää meteorin suuntahavainnot. Vaaleammat viivat näyttävät suunnat havaintoasemilta meteorin ilmestyessä, ja tummemmat viivat näyttävät, missä se viimeksi nähtiin. Sininen nuoli näyttää meteorin näkyvän lennon.

static map
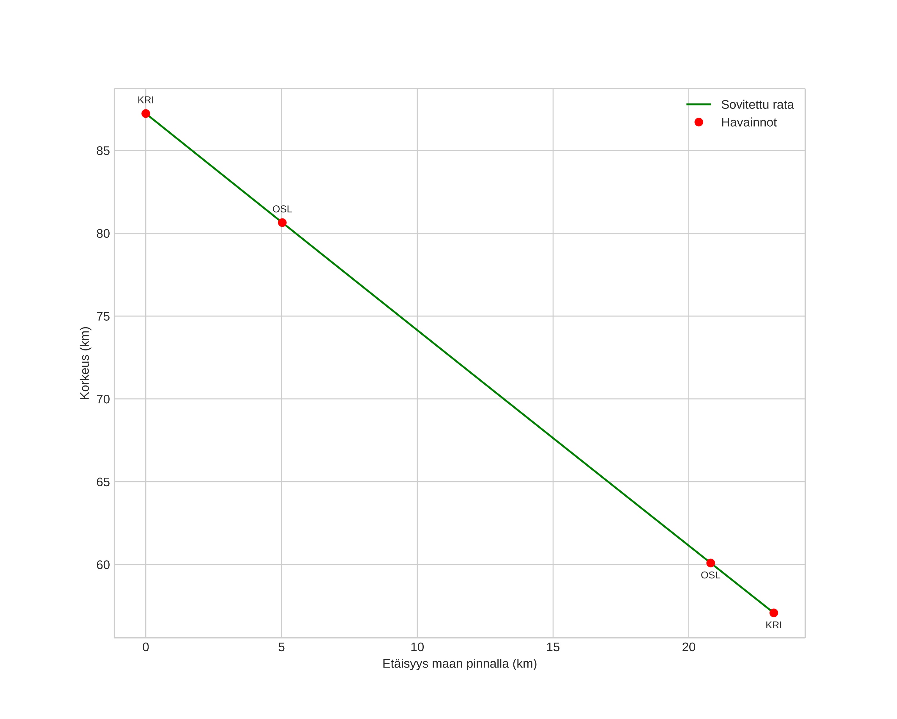
height profile
Meteorin ilmakehärata:
Alkukorkeus: 87,2 km
Loppukorkeus: 57,1 km
Alkupiste: 58,096N 6,567E
Loppupiste: 58,177N 6,204E
Suunta: 293,0°
Kallistuskulma: 52,5°
Tulonopeus: 37,1 km/s
Radiantin R,A,: 07:34 (113,7°)
Radiantin Dekl,: 32,5°
Meteoriparvi: Geminidit
Meteoroidin rataelementit:
Perihelietäisyys: 0,136 AU
Eksentrisyys: 0,905
Inklinaatio: 25,2°
Nousevan solmun pituus: 262,1°
Perihelin argumentti: 324,5°
Keskianomalia: 338,9°
Epookki: 2016 DEC 13 22:48:40
orbit plot

Ei-interaktiivinen kuvaaja | Interaktiivinen kuvaaja

position vs time
speed and acceleration