🇳🇴 🇬🇧 🇩🇪 🇨🇿 🇫🇮

Meteor, poloha: Valle 2016-12-13 23:29:50 UTC

Soubor KML  |  InteraktivnĂ­ mapa

Mapa zobrazuje dráhy meteoru. Světlejší čáry ukazují směry od pozorovacích stanic při objevení se meteoru a tmavší čáry, kde byl naposledy viděn. Modrá šipka značí viditelnou dráhu meteoru.

static map
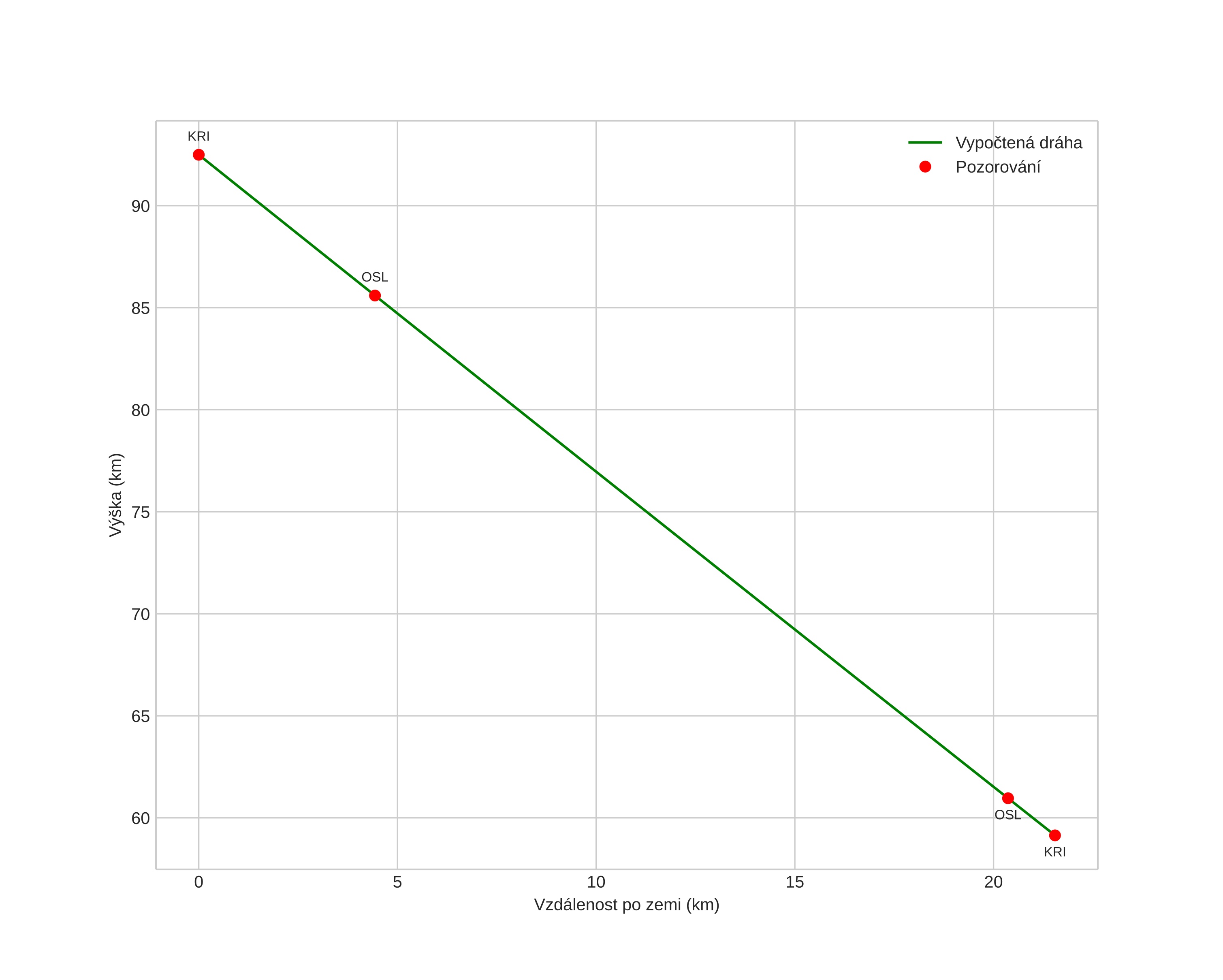
height profile
Atmosférická dráha meteoru:
Počáteční výška: 92,5 km
Konečná výška: 59,1 km
Počáteční poloha: 58,932N 7,866E
Konečná poloha: 59,052N 7,571E
Směr: 308,5°
Sklon: 57,2°
VstupnĂ­ rychlost: 34,2 km/s
Rektascenze radiantu: 07:34 (113,5°)
Deklinace radiantu: 32,3°
MeteorickĂ˝ roj: Geminidy
Elementy dráhy meteoroidu:
Vzdálenost v periheliu: 0,158 AU
Excentricita: 0,869
Sklon dráhy: 20,9°
Délka vzestupného uzlu: 262,2°
Argument perihelia: 323,6°
Střední anomálie: 331,0°
Epocha: 2016 DEC 13 23:29:50
orbit plot

NeinteraktivnĂ­ graf | InteraktivnĂ­ graf

position vs time
speed and acceleration