🇳🇴 🇬🇧 🇩🇪 🇨🇿 🇫🇮

Meteor Vallen yllä 2016-12-13 23:29:50 UTC

KML-tiedosto  |  Interaktiivinen kartta

Kartta näyttää meteorin suuntahavainnot. Vaaleammat viivat näyttävät suunnat havaintoasemilta meteorin ilmestyessä, ja tummemmat viivat näyttävät, missä se viimeksi nähtiin. Sininen nuoli näyttää meteorin näkyvän lennon.

static map
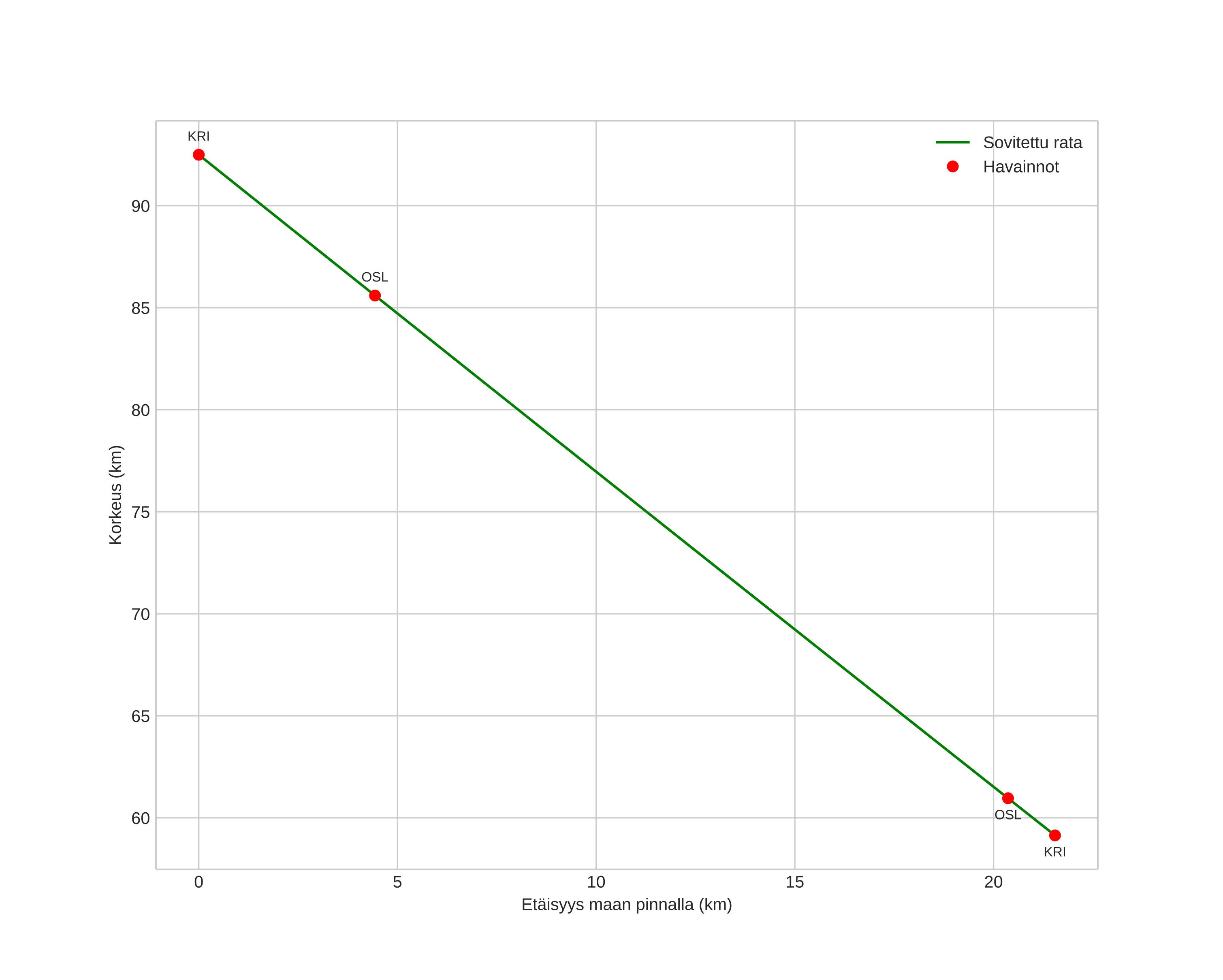
height profile
Meteorin ilmakehärata:
Alkukorkeus: 92,5 km
Loppukorkeus: 59,1 km
Alkupiste: 58,932N 7,866E
Loppupiste: 59,052N 7,571E
Suunta: 308,5°
Kallistuskulma: 57,2°
Tulonopeus: 34,2 km/s
Radiantin R,A,: 07:34 (113,5°)
Radiantin Dekl,: 32,3°
Meteoriparvi: Geminidit
Meteoroidin rataelementit:
Perihelietäisyys: 0,158 AU
Eksentrisyys: 0,869
Inklinaatio: 20,9°
Nousevan solmun pituus: 262,2°
Perihelin argumentti: 323,6°
Keskianomalia: 331,0°
Epookki: 2016 DEC 13 23:29:50
orbit plot

Ei-interaktiivinen kuvaaja | Interaktiivinen kuvaaja

position vs time
speed and acceleration