🇳🇴 🇬🇧 🇩🇪 🇨🇿 🇫🇮

Meteor, poloha: Folldal 2016-12-14 00:12:31 UTC

Soubor KML  |  InteraktivnĂ­ mapa

Mapa zobrazuje dráhy meteoru. Světlejší čáry ukazují směry od pozorovacích stanic při objevení se meteoru a tmavší čáry, kde byl naposledy viděn. Modrá šipka značí viditelnou dráhu meteoru.

static map
height profile
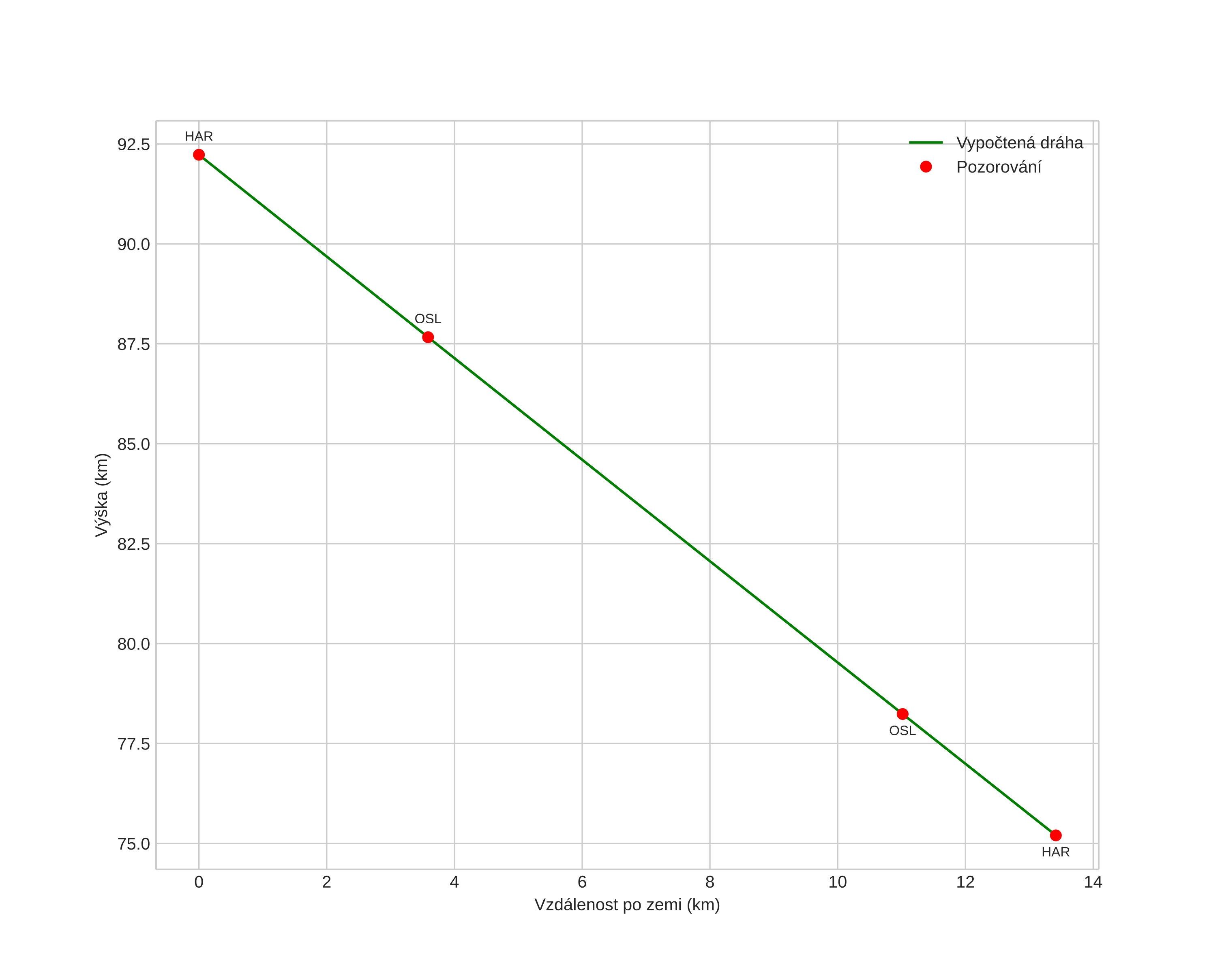
Atmosférická dráha meteoru:
Počáteční výška: 92,2 km
Konečná výška: 75,2 km
Počáteční poloha: 62,010N 10,377E
Konečná poloha: 62,120N 10,270E
Směr: 335,3°
Sklon: 51,7°
VstupnĂ­ rychlost: 34,5 km/s
Rektascenze radiantu: 07:31 (112,8°)
Deklinace radiantu: 24,3°
MeteorickĂ˝ roj: Geminidy
Elementy dráhy meteoroidu:
Vzdálenost v periheliu: 0,126 AU
Excentricita: 0,893
Sklon dráhy: 5,5°
Délka vzestupného uzlu: 262,2°
Argument perihelia: 328,0°
Střední anomálie: 330,8°
Epocha: 2016 DEC 14 00:12:31
orbit plot

NeinteraktivnĂ­ graf | InteraktivnĂ­ graf

position vs time
speed and acceleration