🇳🇴 🇬🇧 🇩🇪 🇨🇿 🇫🇮

Meteor Folldalin yllä 2016-12-14 00:12:31 UTC

KML-tiedosto  |  Interaktiivinen kartta

Kartta näyttää meteorin suuntahavainnot. Vaaleammat viivat näyttävät suunnat havaintoasemilta meteorin ilmestyessä, ja tummemmat viivat näyttävät, missä se viimeksi nähtiin. Sininen nuoli näyttää meteorin näkyvän lennon.

static map
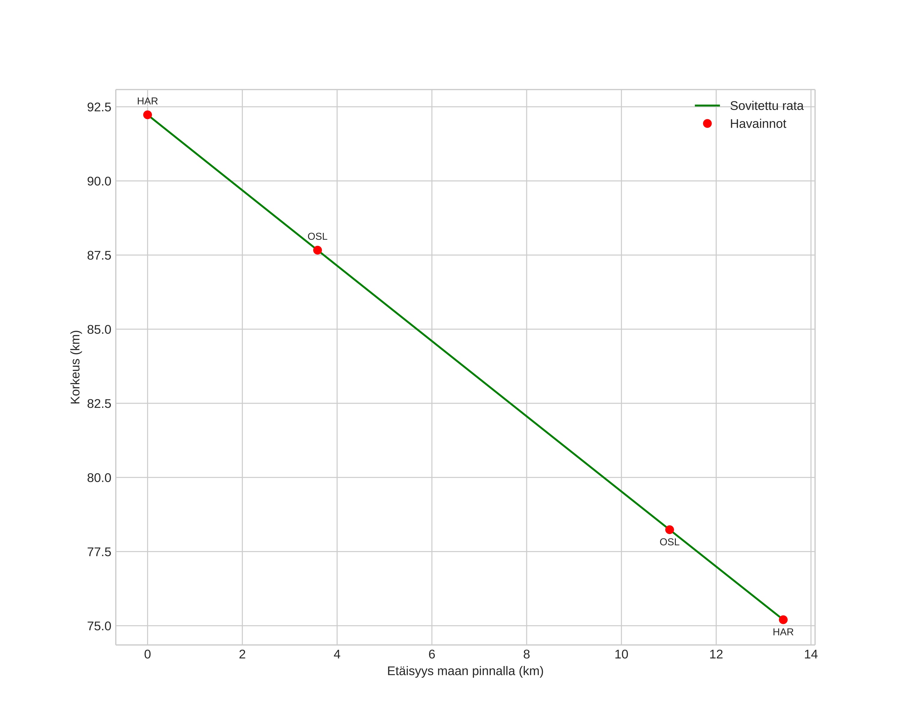
height profile
Meteorin ilmakehärata:
Alkukorkeus: 92,2 km
Loppukorkeus: 75,2 km
Alkupiste: 62,010N 10,377E
Loppupiste: 62,120N 10,270E
Suunta: 335,3°
Kallistuskulma: 51,7°
Tulonopeus: 34,5 km/s
Radiantin R,A,: 07:31 (112,8°)
Radiantin Dekl,: 24,3°
Meteoriparvi: Geminidit
Meteoroidin rataelementit:
Perihelietäisyys: 0,126 AU
Eksentrisyys: 0,893
Inklinaatio: 5,5°
Nousevan solmun pituus: 262,2°
Perihelin argumentti: 328,0°
Keskianomalia: 330,8°
Epookki: 2016 DEC 14 00:12:31
orbit plot

Ei-interaktiivinen kuvaaja | Interaktiivinen kuvaaja

position vs time
speed and acceleration