🇳🇴 🇬🇧 🇩🇪 🇨🇿 🇫🇮

Meteor, poloha: Hovden 2016-12-14 00:29:31 UTC

Soubor KML  |  InteraktivnĂ­ mapa

Mapa zobrazuje dráhy meteoru. Světlejší čáry ukazují směry od pozorovacích stanic při objevení se meteoru a tmavší čáry, kde byl naposledy viděn. Modrá šipka značí viditelnou dráhu meteoru.

static map
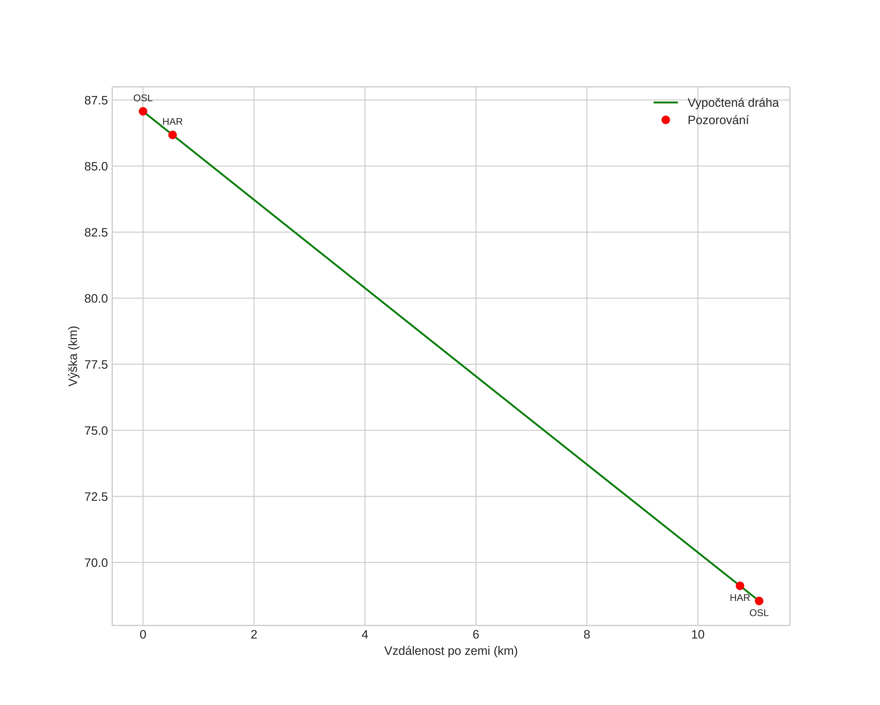
height profile
Atmosférická dráha meteoru:
Počáteční výška: 87,1 km
Konečná výška: 68,5 km
Počáteční poloha: 59,968N 7,685E
Konečná poloha: 60,051N 7,574E
Směr: 326,4°
Sklon: 59,2°
VstupnĂ­ rychlost: 35,4 km/s
Rektascenze radiantu: 07:48 (117,2°)
Deklinace radiantu: 31,2°
MeteorickĂ˝ roj: Geminidy
Elementy dráhy meteoroidu:
Vzdálenost v periheliu: 0,119 AU
Excentricita: 0,895
Sklon dráhy: 23,9°
Délka vzestupného uzlu: 262,2°
Argument perihelia: 329,6°
Střední anomálie: 328,9°
Epocha: 2016 DEC 14 00:29:31
orbit plot

NeinteraktivnĂ­ graf | InteraktivnĂ­ graf

position vs time
speed and acceleration