🇳🇴 🇬🇧 🇩🇪 🇨🇿 🇫🇮

Meteor Hovdenin yllä 2016-12-14 00:29:31 UTC

KML-tiedosto  |  Interaktiivinen kartta

Kartta näyttää meteorin suuntahavainnot. Vaaleammat viivat näyttävät suunnat havaintoasemilta meteorin ilmestyessä, ja tummemmat viivat näyttävät, missä se viimeksi nähtiin. Sininen nuoli näyttää meteorin näkyvän lennon.

static map
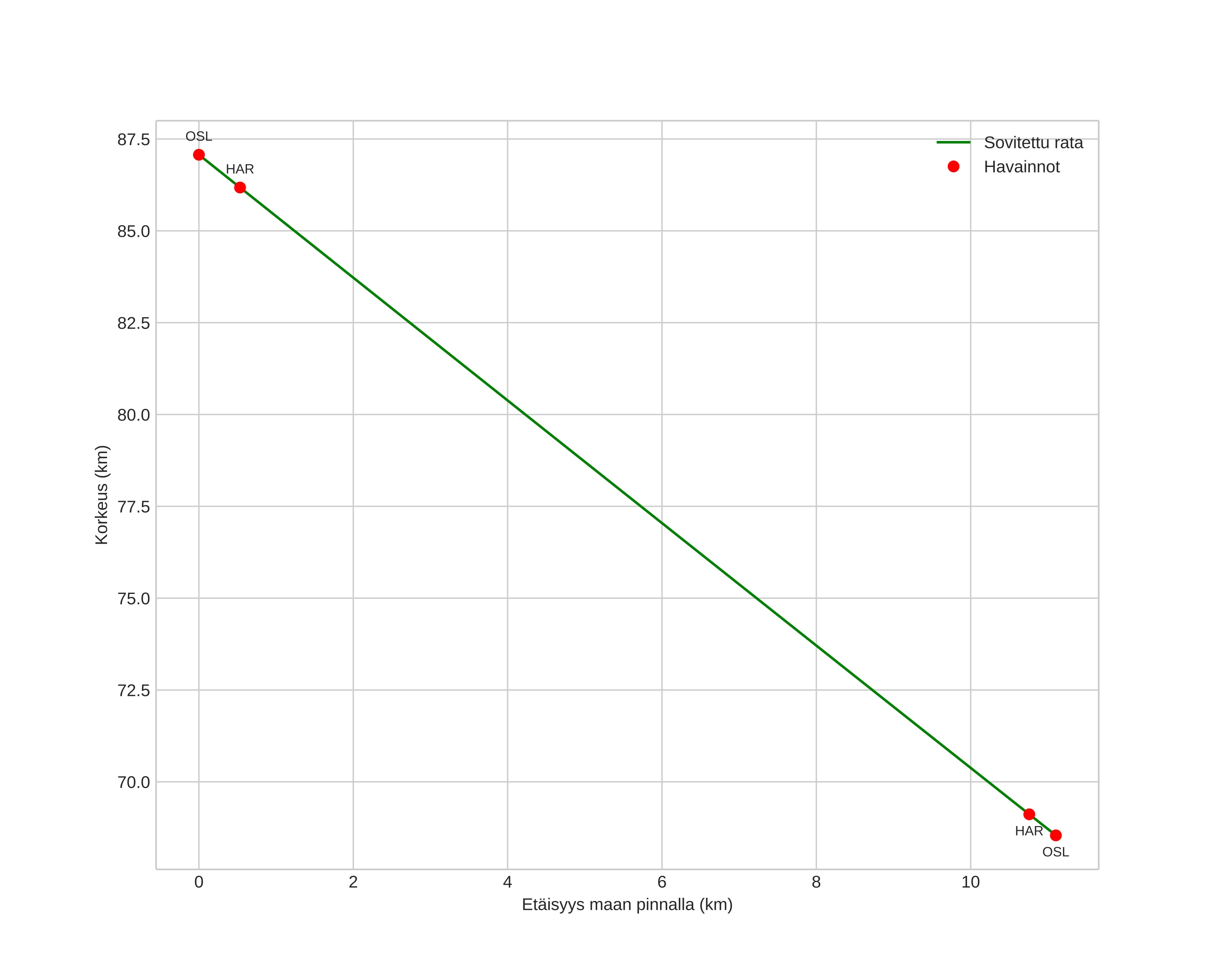
height profile
Meteorin ilmakehärata:
Alkukorkeus: 87,1 km
Loppukorkeus: 68,5 km
Alkupiste: 59,968N 7,685E
Loppupiste: 60,051N 7,574E
Suunta: 326,4°
Kallistuskulma: 59,2°
Tulonopeus: 35,4 km/s
Radiantin R,A,: 07:48 (117,2°)
Radiantin Dekl,: 31,2°
Meteoriparvi: Geminidit
Meteoroidin rataelementit:
Perihelietäisyys: 0,119 AU
Eksentrisyys: 0,895
Inklinaatio: 23,9°
Nousevan solmun pituus: 262,2°
Perihelin argumentti: 329,6°
Keskianomalia: 328,9°
Epookki: 2016 DEC 14 00:29:31
orbit plot

Ei-interaktiivinen kuvaaja | Interaktiivinen kuvaaja

position vs time
speed and acceleration