🇳🇴 🇬🇧 🇩🇪 🇨🇿 🇫🇮

Meteor, poloha: Flisa 2016-12-14 01:23:07 UTC

Soubor KML  |  InteraktivnĂ­ mapa

Mapa zobrazuje dráhy meteoru. Světlejší čáry ukazují směry od pozorovacích stanic při objevení se meteoru a tmavší čáry, kde byl naposledy viděn. Modrá šipka značí viditelnou dráhu meteoru.

static map
height profile
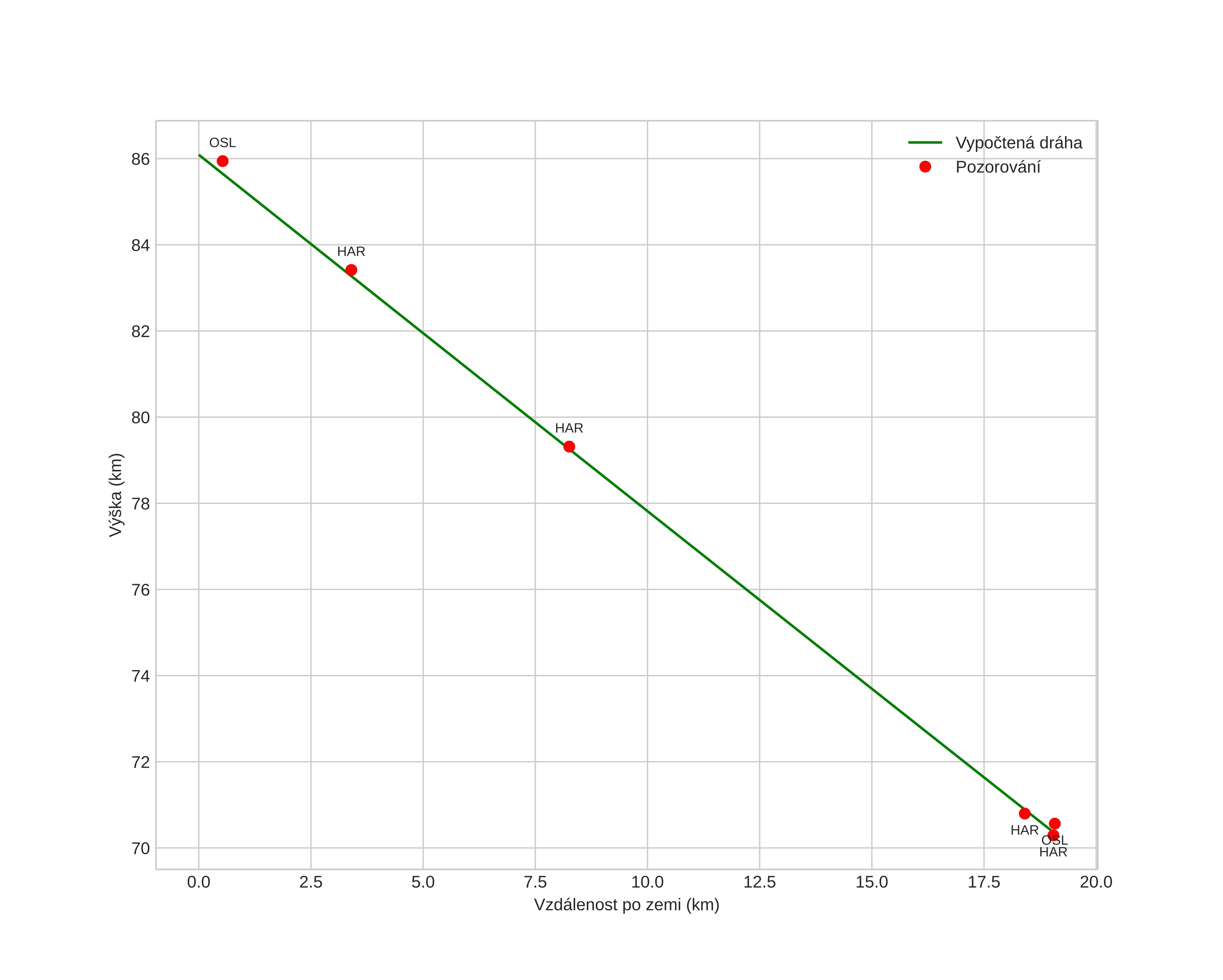
Atmosférická dráha meteoru:
Počáteční výška: 86,1 km
Konečná výška: 70,3 km
Počáteční poloha: 60,354N 11,773E
Konečná poloha: 60,509N 11,922E
Směr: 25,4°
Sklon: 39,6°
VstupnĂ­ rychlost: 28,7 km/s
Rektascenze radiantu: 06:19 (94,8°)
Deklinace radiantu: 9,9°
MeteorickĂ˝ roj: sporadickĂ˝
Elementy dráhy meteoroidu:
Vzdálenost v periheliu: 0,398 AU
Excentricita: 0,768
Sklon dráhy: 14,0°
Délka vzestupného uzlu: 82,3°
Argument perihelia: 111,7°
Střední anomálie: 340,4°
Epocha: 2016 DEC 14 01:23:07
orbit plot

NeinteraktivnĂ­ graf | InteraktivnĂ­ graf

position vs time
speed and acceleration