🇳🇴 🇬🇧 🇩🇪 🇨🇿 🇫🇮

Meteor Flisan yllä 2016-12-14 01:23:07 UTC

KML-tiedosto  |  Interaktiivinen kartta

Kartta näyttää meteorin suuntahavainnot. Vaaleammat viivat näyttävät suunnat havaintoasemilta meteorin ilmestyessä, ja tummemmat viivat näyttävät, missä se viimeksi nähtiin. Sininen nuoli näyttää meteorin näkyvän lennon.

static map
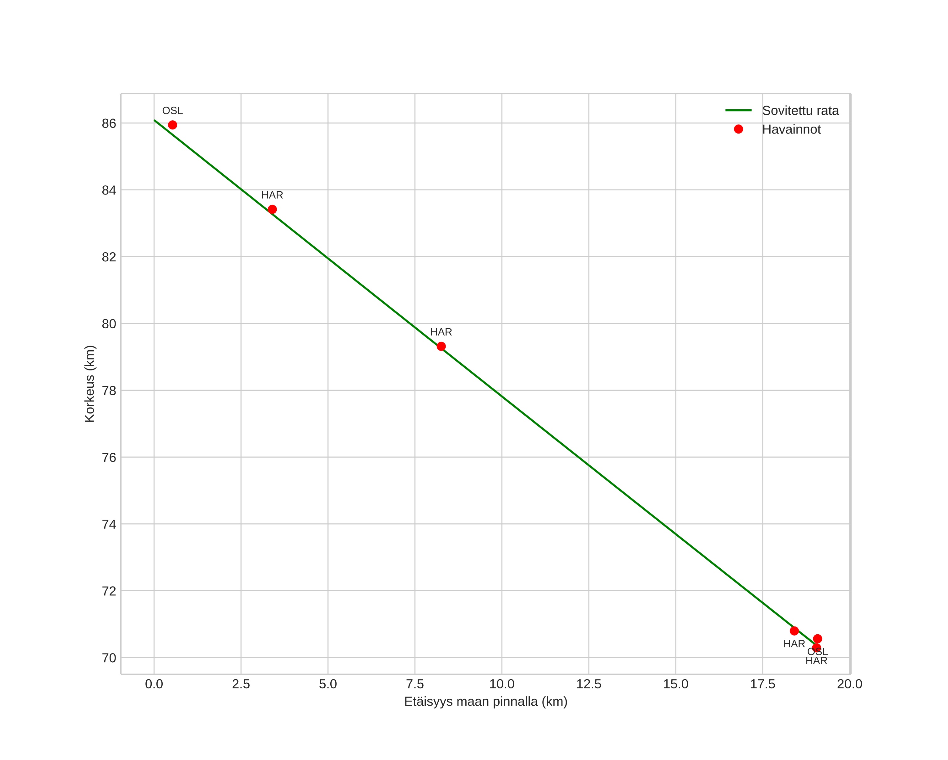
height profile
Meteorin ilmakehärata:
Alkukorkeus: 86,1 km
Loppukorkeus: 70,3 km
Alkupiste: 60,354N 11,773E
Loppupiste: 60,509N 11,922E
Suunta: 25,4°
Kallistuskulma: 39,6°
Tulonopeus: 28,7 km/s
Radiantin R,A,: 06:19 (94,8°)
Radiantin Dekl,: 9,9°
Meteoriparvi: Sporadinen
Meteoroidin rataelementit:
Perihelietäisyys: 0,398 AU
Eksentrisyys: 0,768
Inklinaatio: 14,0°
Nousevan solmun pituus: 82,3°
Perihelin argumentti: 111,7°
Keskianomalia: 340,4°
Epookki: 2016 DEC 14 01:23:07
orbit plot

Ei-interaktiivinen kuvaaja | Interaktiivinen kuvaaja

position vs time
speed and acceleration