🇳🇴 🇬🇧 🇩🇪 🇨🇿 🇫🇮

Meteor, poloha: Askersund 2016-12-14 02:06:03 UTC

Soubor KML  |  InteraktivnĂ­ mapa

Mapa zobrazuje dráhy meteoru. Světlejší čáry ukazují směry od pozorovacích stanic při objevení se meteoru a tmavší čáry, kde byl naposledy viděn. Modrá šipka značí viditelnou dráhu meteoru.

static map
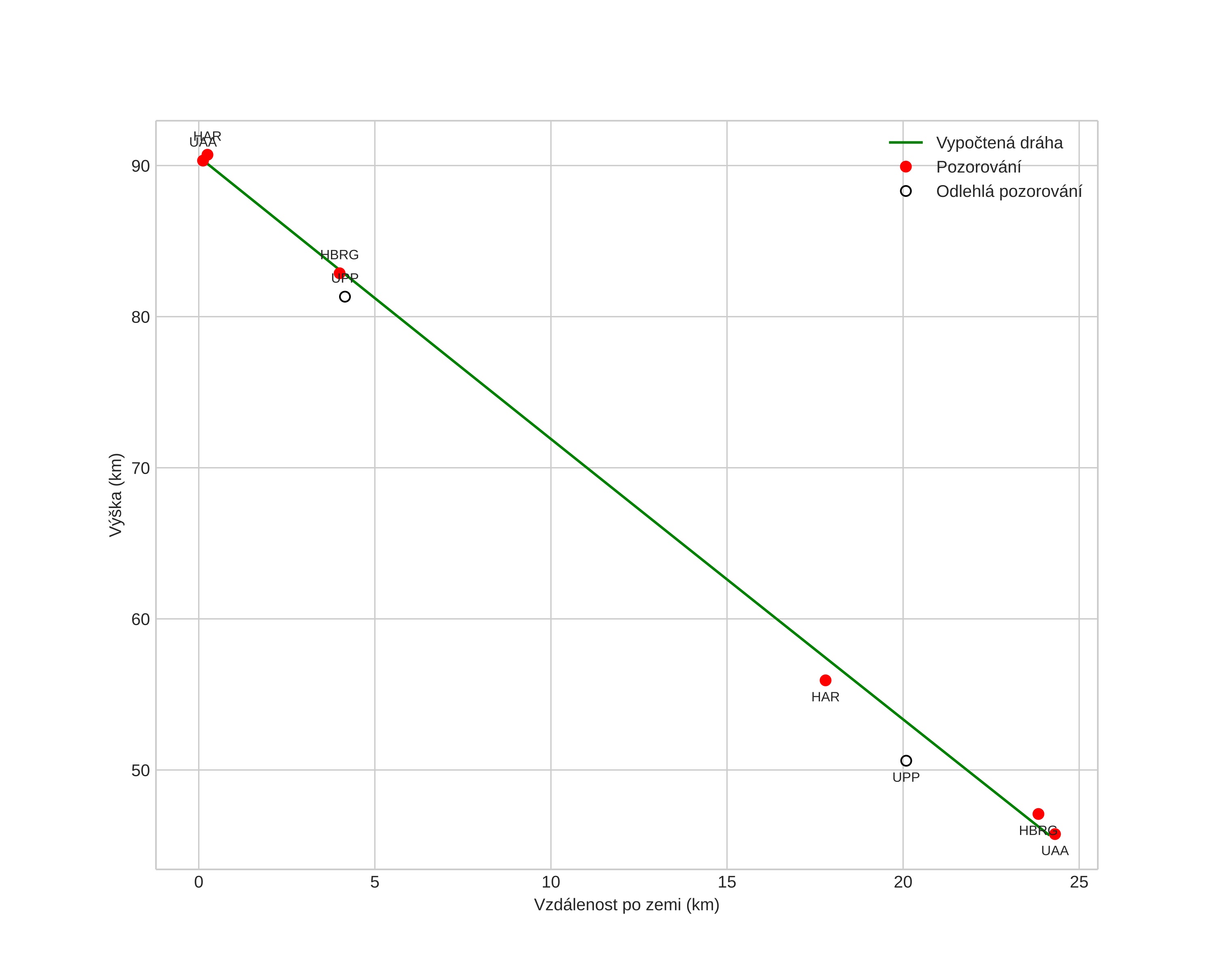
height profile
Atmosférická dráha meteoru:
Počáteční výška: 90,6 km
Konečná výška: 45,7 km
Počáteční poloha: 58,646N 14,749E
Konečná poloha: 58,836N 14,951E
Směr: 28,7°
Sklon: 61,7°
VstupnĂ­ rychlost: 39,6 km/s
Rektascenze radiantu: 07:31 (112,9°)
Deklinace radiantu: 31,7°
MeteorickĂ˝ roj: Geminidy
Elementy dráhy meteoroidu:
Vzdálenost v periheliu: 0,119 AU
Excentricita: 0,937
Sklon dráhy: 26,5°
Délka vzestupného uzlu: 262,3°
Argument perihelia: 324,8°
Střední anomálie: 346,9°
Epocha: 2016 DEC 14 02:06:03
orbit plot

NeinteraktivnĂ­ graf | InteraktivnĂ­ graf

position vs time
speed and acceleration