🇳🇴 🇬🇧 🇩🇪 🇨🇿 🇫🇮

Meteor Askersundin yllä 2016-12-14 02:06:03 UTC

KML-tiedosto  |  Interaktiivinen kartta

Kartta näyttää meteorin suuntahavainnot. Vaaleammat viivat näyttävät suunnat havaintoasemilta meteorin ilmestyessä, ja tummemmat viivat näyttävät, missä se viimeksi nähtiin. Sininen nuoli näyttää meteorin näkyvän lennon.

static map
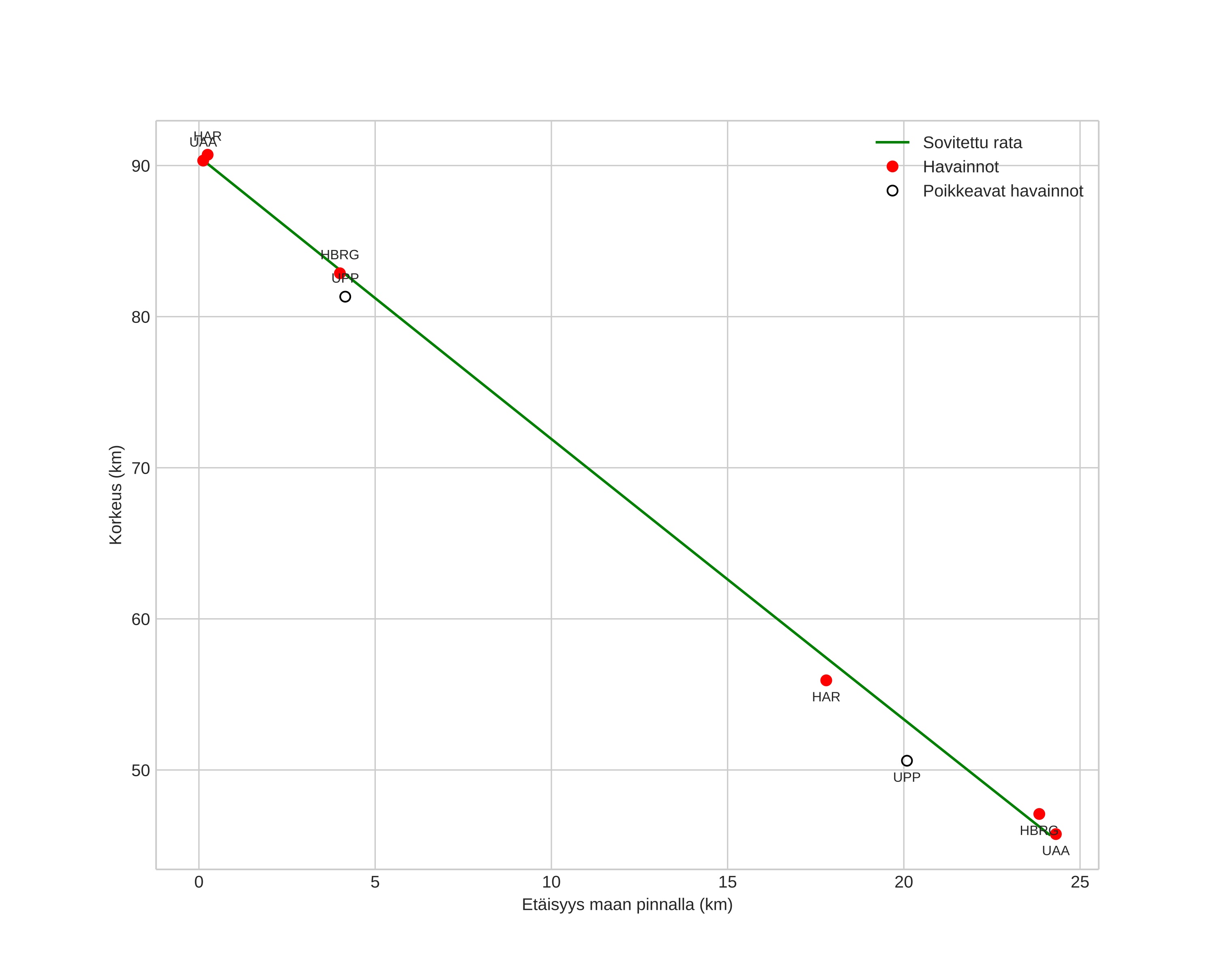
height profile
Meteorin ilmakehärata:
Alkukorkeus: 90,6 km
Loppukorkeus: 45,7 km
Alkupiste: 58,646N 14,749E
Loppupiste: 58,836N 14,951E
Suunta: 28,7°
Kallistuskulma: 61,7°
Tulonopeus: 39,6 km/s
Radiantin R,A,: 07:31 (112,9°)
Radiantin Dekl,: 31,7°
Meteoriparvi: Geminidit
Meteoroidin rataelementit:
Perihelietäisyys: 0,119 AU
Eksentrisyys: 0,937
Inklinaatio: 26,5°
Nousevan solmun pituus: 262,3°
Perihelin argumentti: 324,8°
Keskianomalia: 346,9°
Epookki: 2016 DEC 14 02:06:03
orbit plot

Ei-interaktiivinen kuvaaja | Interaktiivinen kuvaaja

position vs time
speed and acceleration