🇳🇴 🇬🇧 🇩🇪 🇨🇿 🇫🇮

Meteor, poloha: Stavern 2016-12-14 02:10:10 UTC

Soubor KML  |  InteraktivnĂ­ mapa

Mapa zobrazuje dráhy meteoru. Světlejší čáry ukazují směry od pozorovacích stanic při objevení se meteoru a tmavší čáry, kde byl naposledy viděn. Modrá šipka značí viditelnou dráhu meteoru.

static map
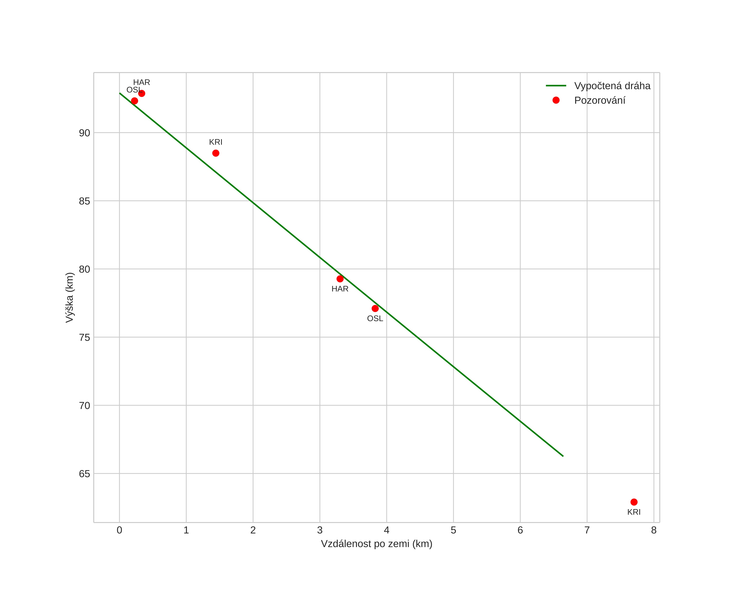
height profile
Atmosférická dráha meteoru:
Počáteční výška: 92,9 km
Konečná výška: 66,3 km
Počáteční poloha: 58,751N 10,046E
Konečná poloha: 58,692N 10,065E
Směr: 170,5°
Sklon: 76,0°
VstupnĂ­ rychlost: 25,8 km/s
Rektascenze radiantu: 07:40 (115,0°)
Deklinace radiantu: 72,9°
MeteorickĂ˝ roj: sporadickĂ˝
Elementy dráhy meteoroidu:
Vzdálenost v periheliu: 0,708 AU
Excentricita: 0,495
Sklon dráhy: 35,2°
Délka vzestupného uzlu: 262,3°
Argument perihelia: 261,3°
Střední anomálie: 329,6°
Epocha: 2016 DEC 14 02:10:10
orbit plot

NeinteraktivnĂ­ graf | InteraktivnĂ­ graf

position vs time
speed and acceleration