🇳🇴 🇬🇧 🇩🇪 🇨🇿 🇫🇮

Meteor Stavernin yllä 2016-12-14 02:10:10 UTC

KML-tiedosto  |  Interaktiivinen kartta

Kartta näyttää meteorin suuntahavainnot. Vaaleammat viivat näyttävät suunnat havaintoasemilta meteorin ilmestyessä, ja tummemmat viivat näyttävät, missä se viimeksi nähtiin. Sininen nuoli näyttää meteorin näkyvän lennon.

static map
height profile
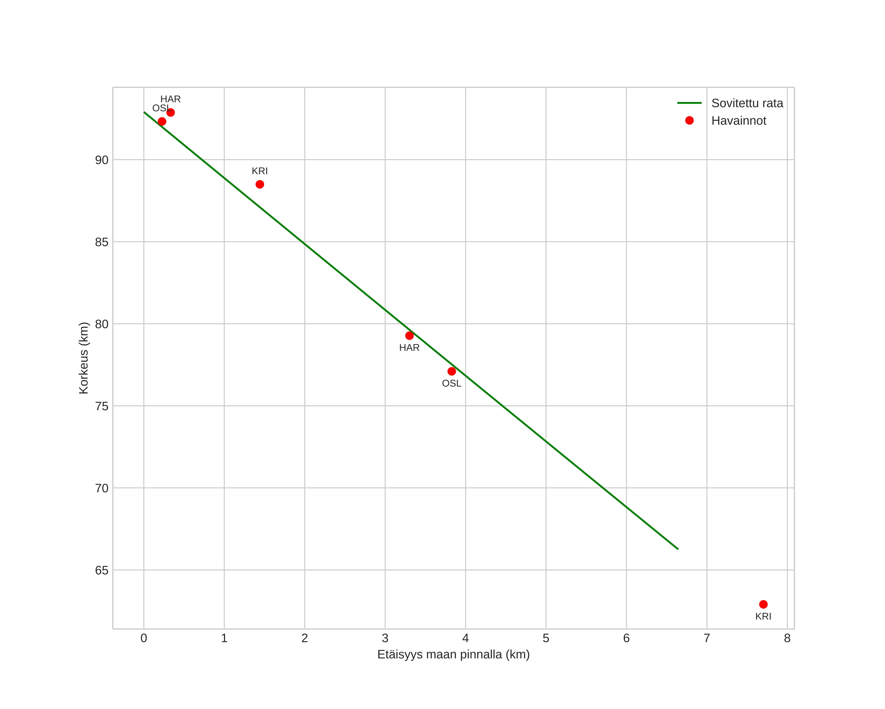
Meteorin ilmakehärata:
Alkukorkeus: 92,9 km
Loppukorkeus: 66,3 km
Alkupiste: 58,751N 10,046E
Loppupiste: 58,692N 10,065E
Suunta: 170,5°
Kallistuskulma: 76,0°
Tulonopeus: 25,8 km/s
Radiantin R,A,: 07:40 (115,0°)
Radiantin Dekl,: 72,9°
Meteoriparvi: Sporadinen
Meteoroidin rataelementit:
Perihelietäisyys: 0,708 AU
Eksentrisyys: 0,495
Inklinaatio: 35,2°
Nousevan solmun pituus: 262,3°
Perihelin argumentti: 261,3°
Keskianomalia: 329,6°
Epookki: 2016 DEC 14 02:10:10
orbit plot

Ei-interaktiivinen kuvaaja | Interaktiivinen kuvaaja

position vs time
speed and acceleration