🇳🇴 🇬🇧 🇩🇪 🇨🇿 🇫🇮

Meteor, poloha: Segalstad bru 2016-12-14 02:14:06 UTC

Soubor KML  |  InteraktivnĂ­ mapa

Mapa zobrazuje dráhy meteoru. Světlejší čáry ukazují směry od pozorovacích stanic při objevení se meteoru a tmavší čáry, kde byl naposledy viděn. Modrá šipka značí viditelnou dráhu meteoru.

static map
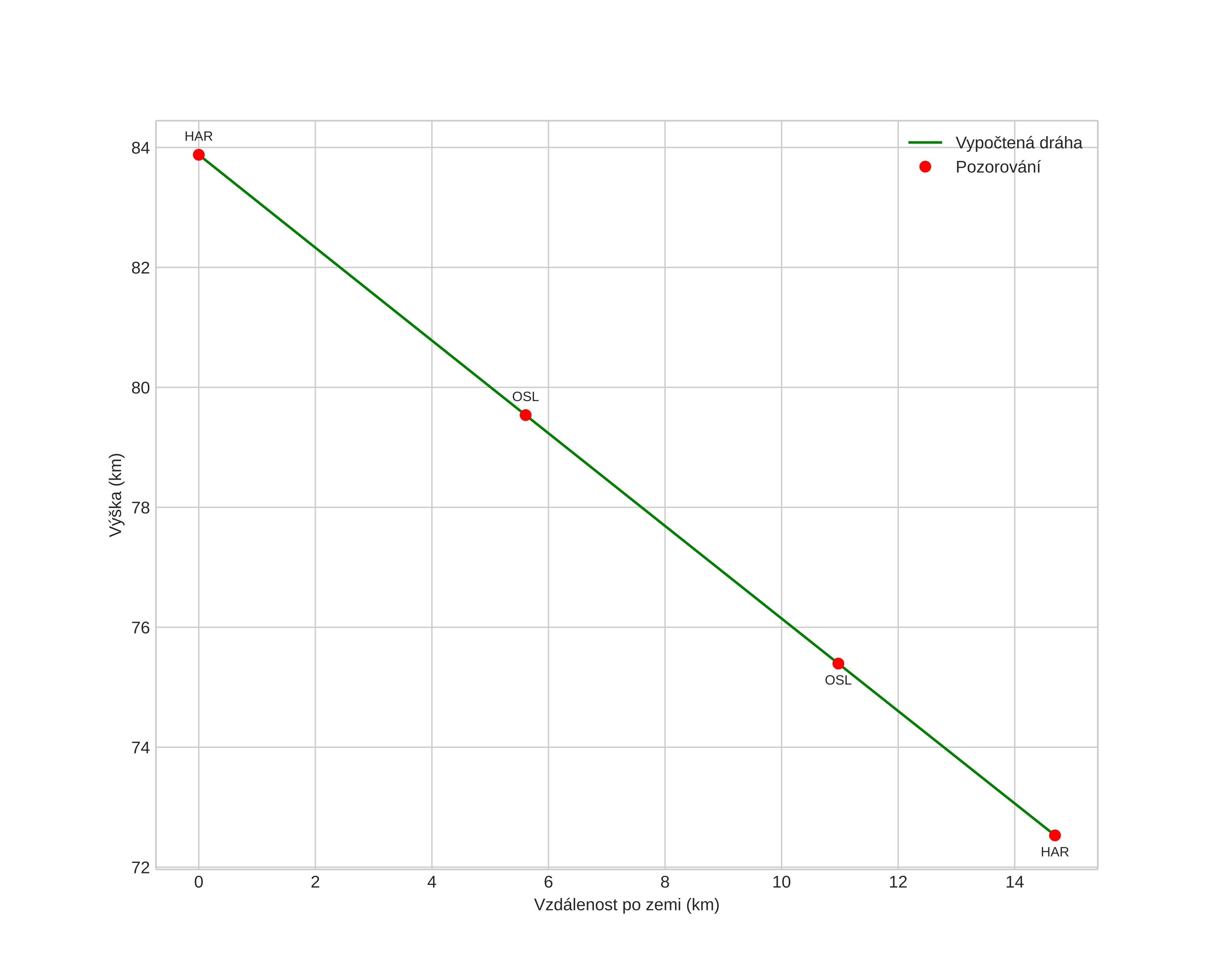
height profile
Atmosférická dráha meteoru:
Počáteční výška: 83,9 km
Konečná výška: 72,5 km
Počáteční poloha: 61,114N 10,157E
Konečná poloha: 61,246N 10,181E
Směr: 5,0°
Sklon: 37,8°
VstupnĂ­ rychlost: 34,7 km/s
Rektascenze radiantu: 08:08 (122,2°)
Deklinace radiantu: 7,5°
MeteorickĂ˝ roj: sporadickĂ˝
Elementy dráhy meteoroidu:
Vzdálenost v periheliu: 0,079 AU
Excentricita: 0,906
Sklon dráhy: 36,9°
Délka vzestupného uzlu: 82,3°
Argument perihelia: 159,2°
Střední anomálie: 310,0°
Epocha: 2016 DEC 14 02:14:06
orbit plot

NeinteraktivnĂ­ graf | InteraktivnĂ­ graf

position vs time
speed and acceleration