🇳🇴 🇬🇧 🇩🇪 🇨🇿 🇫🇮

Meteor Segalstad brun yllä 2016-12-14 02:14:06 UTC

KML-tiedosto  |  Interaktiivinen kartta

Kartta näyttää meteorin suuntahavainnot. Vaaleammat viivat näyttävät suunnat havaintoasemilta meteorin ilmestyessä, ja tummemmat viivat näyttävät, missä se viimeksi nähtiin. Sininen nuoli näyttää meteorin näkyvän lennon.

static map
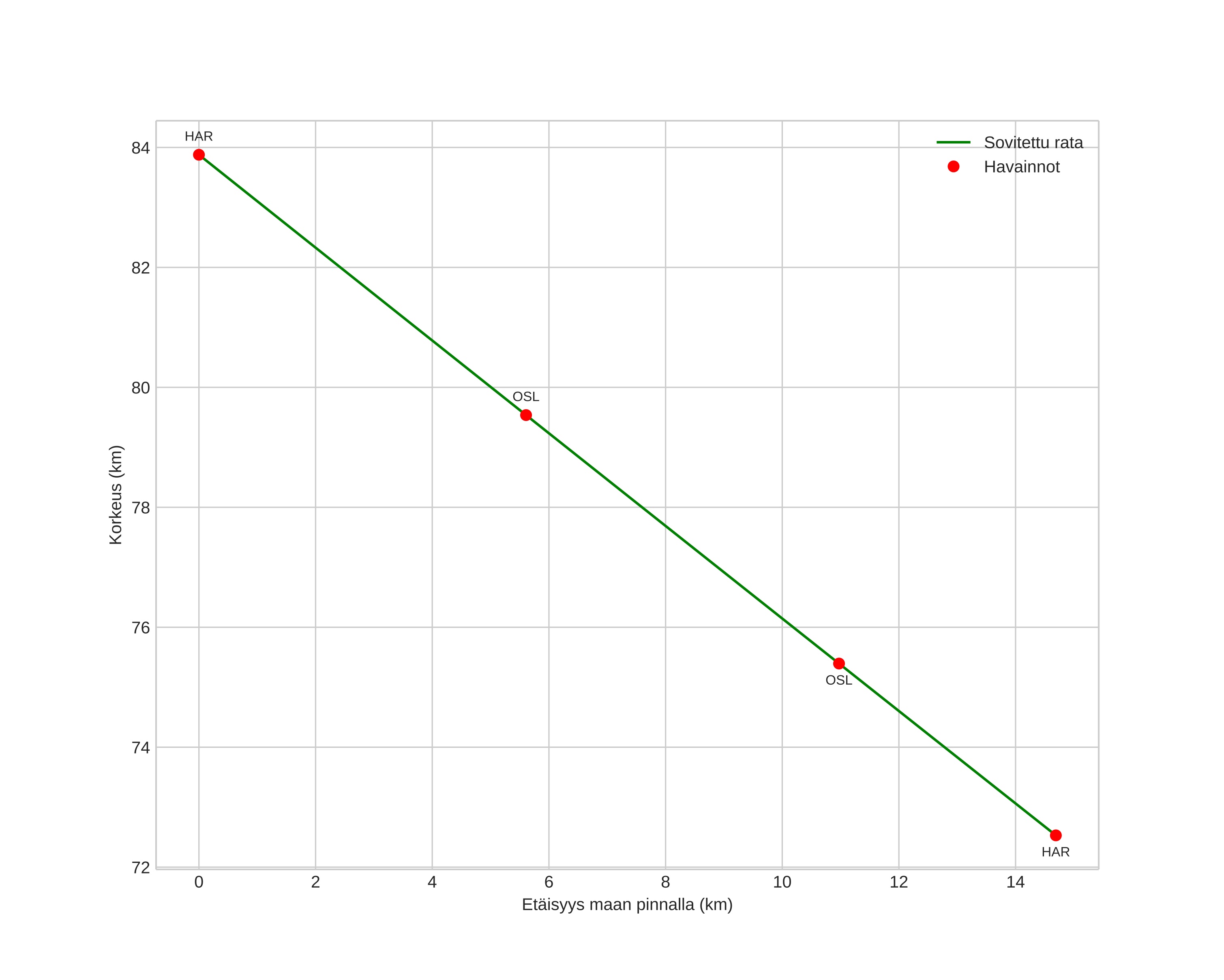
height profile
Meteorin ilmakehärata:
Alkukorkeus: 83,9 km
Loppukorkeus: 72,5 km
Alkupiste: 61,114N 10,157E
Loppupiste: 61,246N 10,181E
Suunta: 5,0°
Kallistuskulma: 37,8°
Tulonopeus: 34,7 km/s
Radiantin R,A,: 08:08 (122,2°)
Radiantin Dekl,: 7,5°
Meteoriparvi: Sporadinen
Meteoroidin rataelementit:
Perihelietäisyys: 0,079 AU
Eksentrisyys: 0,906
Inklinaatio: 36,9°
Nousevan solmun pituus: 82,3°
Perihelin argumentti: 159,2°
Keskianomalia: 310,0°
Epookki: 2016 DEC 14 02:14:06
orbit plot

Ei-interaktiivinen kuvaaja | Interaktiivinen kuvaaja

position vs time
speed and acceleration