🇳🇴 🇬🇧 🇩🇪 🇨🇿 🇫🇮

Meteor, poloha: Ørje 2016-12-14 02:35:40 UTC

Soubor KML  |  Interaktivní mapa

Mapa zobrazuje dráhy meteoru. Světlejší čáry ukazují směry od pozorovacích stanic při objevení se meteoru a tmavší čáry, kde byl naposledy viděn. Modrá šipka značí viditelnou dráhu meteoru.

static map
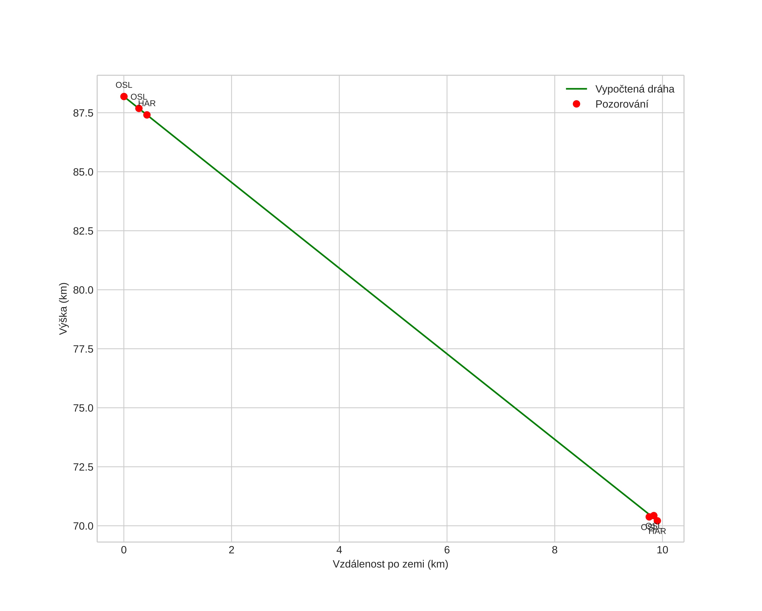
height profile
Atmosférická dráha meteoru:
Počáteční výška: 88,2 km
Konečná výška: 70,2 km
Počáteční poloha: 59,436N 11,520E
Konečná poloha: 59,511N 11,616E
Směr: 33,3°
Sklon: 61,2°
Vstupní rychlost: 33,9 km/s
Rektascenze radiantu: 07:36 (114,1°)
Deklinace radiantu: 32,4°
Meteorický roj: Geminidy
Elementy dráhy meteoroidu:
Vzdálenost v periheliu: 0,158 AU
Excentricita: 0,867
Sklon dráhy: 21,2°
Délka vzestupného uzlu: 262,3°
Argument perihelia: 324,0°
Střední anomálie: 329,9°
Epocha: 2016 DEC 14 02:35:40
orbit plot

Neinteraktivní graf | Interaktivní graf

position vs time
speed and acceleration