🇳🇴 🇬🇧 🇩🇪 🇨🇿 🇫🇮

Meteor Ørjen yllä 2016-12-14 02:35:40 UTC

KML-tiedosto  |  Interaktiivinen kartta

Kartta näyttää meteorin suuntahavainnot. Vaaleammat viivat näyttävät suunnat havaintoasemilta meteorin ilmestyessä, ja tummemmat viivat näyttävät, missä se viimeksi nähtiin. Sininen nuoli näyttää meteorin näkyvän lennon.

static map
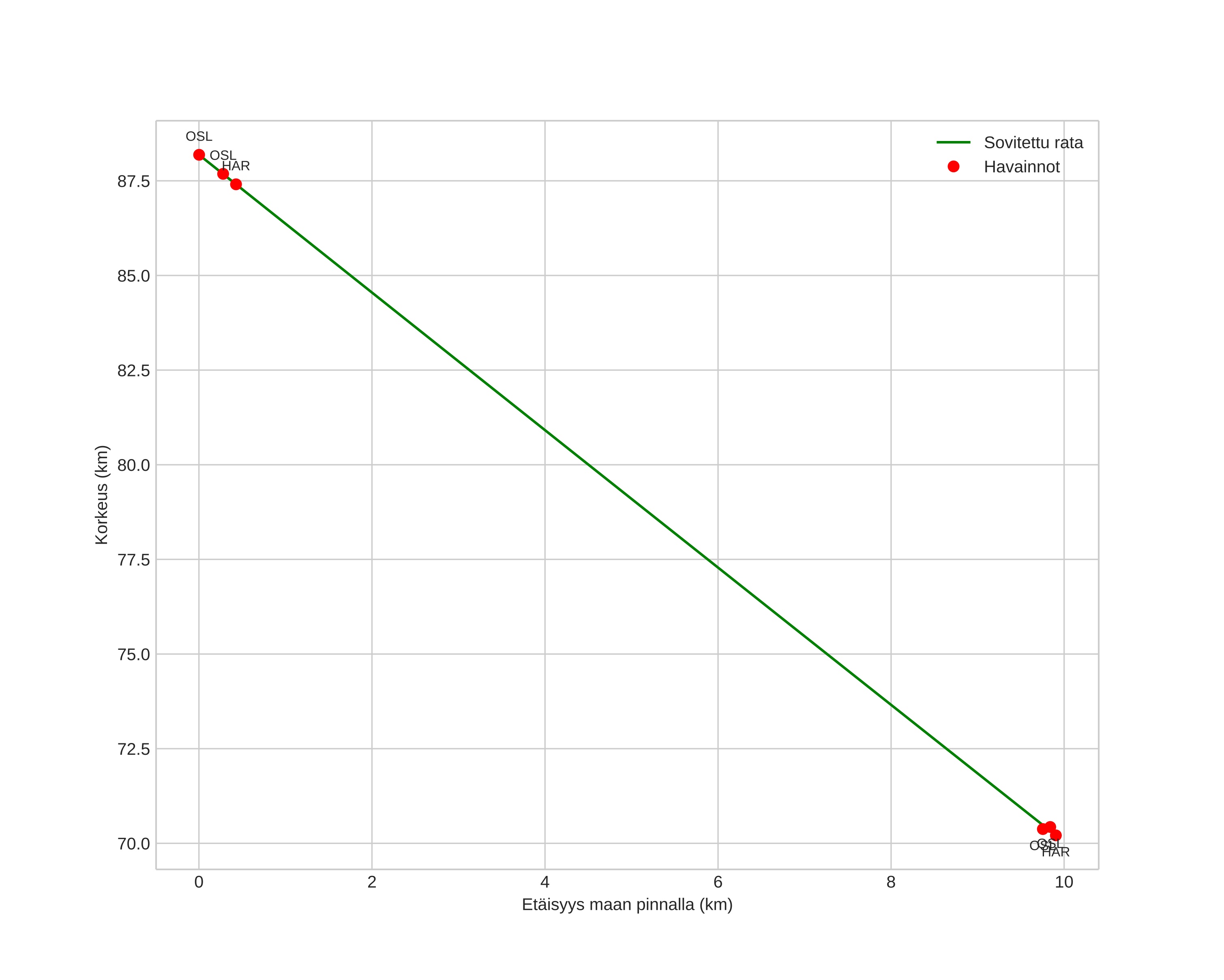
height profile
Meteorin ilmakehärata:
Alkukorkeus: 88,2 km
Loppukorkeus: 70,2 km
Alkupiste: 59,436N 11,520E
Loppupiste: 59,511N 11,616E
Suunta: 33,3°
Kallistuskulma: 61,2°
Tulonopeus: 33,9 km/s
Radiantin R,A,: 07:36 (114,1°)
Radiantin Dekl,: 32,4°
Meteoriparvi: Geminidit
Meteoroidin rataelementit:
Perihelietäisyys: 0,158 AU
Eksentrisyys: 0,867
Inklinaatio: 21,2°
Nousevan solmun pituus: 262,3°
Perihelin argumentti: 324,0°
Keskianomalia: 329,9°
Epookki: 2016 DEC 14 02:35:40
orbit plot

Ei-interaktiivinen kuvaaja | Interaktiivinen kuvaaja

position vs time
speed and acceleration