🇳🇴 🇬🇧 🇩🇪 🇨🇿 🇫🇮

Meteor, poloha: Siljansnäs 2016-12-14 02:48:58 UTC

Soubor KML  |  InteraktivnĂ­ mapa

Mapa zobrazuje dráhy meteoru. Světlejší čáry ukazují směry od pozorovacích stanic při objevení se meteoru a tmavší čáry, kde byl naposledy viděn. Modrá šipka značí viditelnou dráhu meteoru.

static map
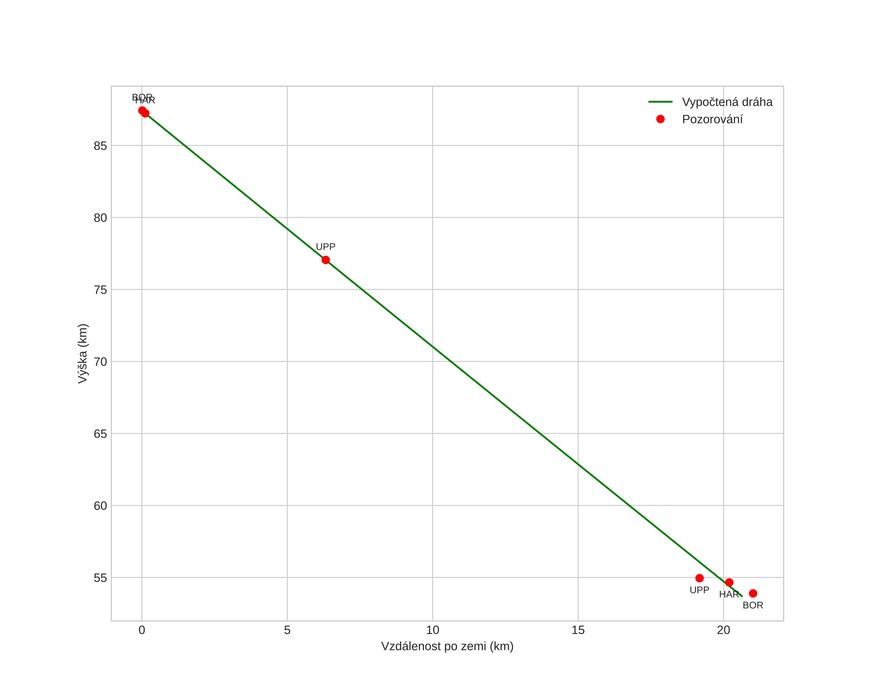
height profile
Atmosférická dráha meteoru:
Počáteční výška: 87,4 km
Konečná výška: 53,7 km
Počáteční poloha: 60,630N 14,359E
Konečná poloha: 60,768N 14,613E
Směr: 41,9°
Sklon: 58,5°
VstupnĂ­ rychlost: 34,3 km/s
Rektascenze radiantu: 07:35 (114,0°)
Deklinace radiantu: 32,5°
MeteorickĂ˝ roj: Geminidy
Elementy dráhy meteoroidu:
Vzdálenost v periheliu: 0,156 AU
Excentricita: 0,872
Sklon dráhy: 21,9°
Délka vzestupného uzlu: 262,3°
Argument perihelia: 323,8°
Střední anomálie: 331,5°
Epocha: 2016 DEC 14 02:48:58
orbit plot

NeinteraktivnĂ­ graf | InteraktivnĂ­ graf

position vs time
speed and acceleration