🇳🇴 🇬🇧 🇩🇪 🇨🇿 🇫🇮

Meteor Siljansnäsin yllä 2016-12-14 02:48:58 UTC

KML-tiedosto  |  Interaktiivinen kartta

Kartta näyttää meteorin suuntahavainnot. Vaaleammat viivat näyttävät suunnat havaintoasemilta meteorin ilmestyessä, ja tummemmat viivat näyttävät, missä se viimeksi nähtiin. Sininen nuoli näyttää meteorin näkyvän lennon.

static map
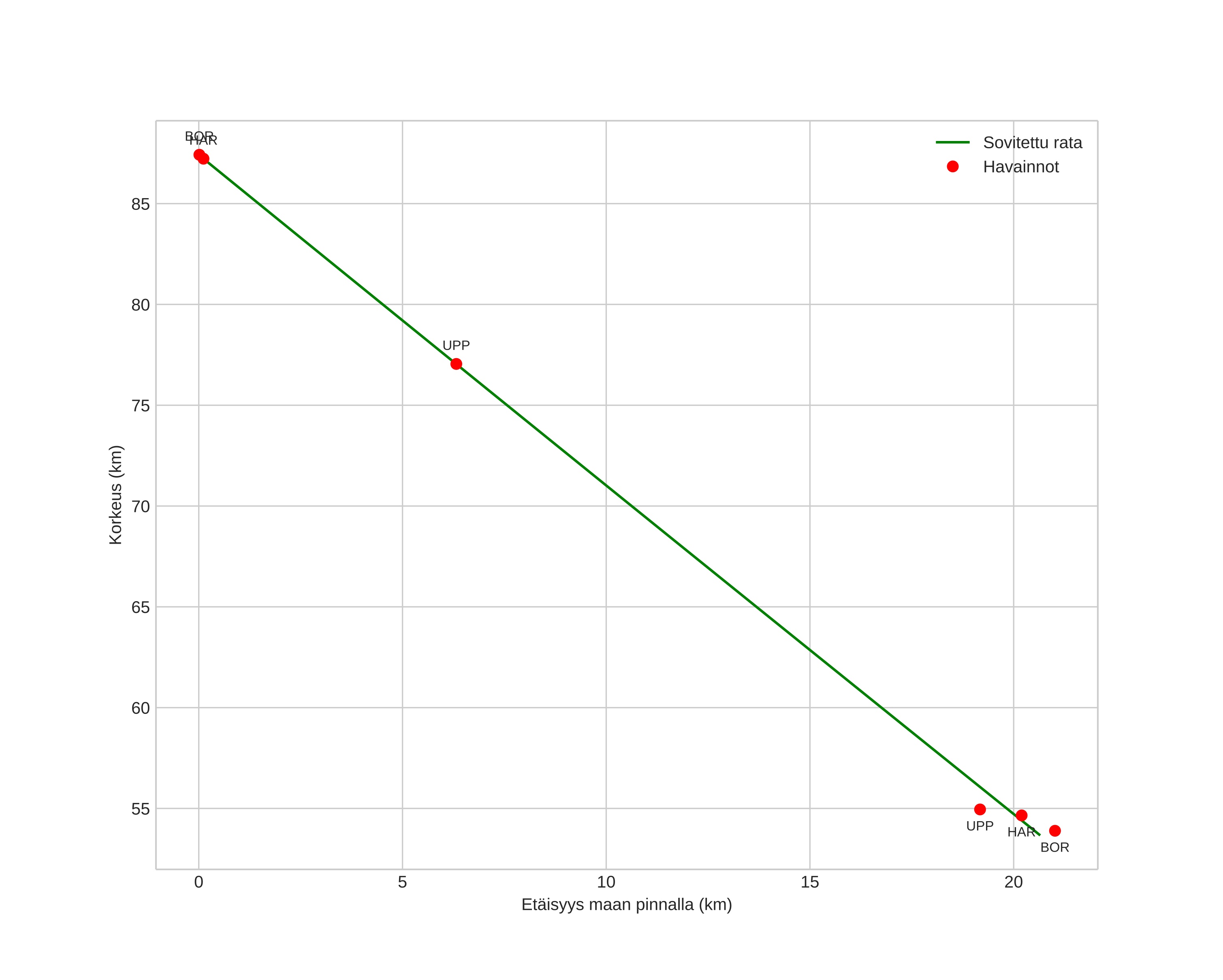
height profile
Meteorin ilmakehärata:
Alkukorkeus: 87,4 km
Loppukorkeus: 53,7 km
Alkupiste: 60,630N 14,359E
Loppupiste: 60,768N 14,613E
Suunta: 41,9°
Kallistuskulma: 58,5°
Tulonopeus: 34,3 km/s
Radiantin R,A,: 07:35 (114,0°)
Radiantin Dekl,: 32,5°
Meteoriparvi: Geminidit
Meteoroidin rataelementit:
Perihelietäisyys: 0,156 AU
Eksentrisyys: 0,872
Inklinaatio: 21,9°
Nousevan solmun pituus: 262,3°
Perihelin argumentti: 323,8°
Keskianomalia: 331,5°
Epookki: 2016 DEC 14 02:48:58
orbit plot

Ei-interaktiivinen kuvaaja | Interaktiivinen kuvaaja

position vs time
speed and acceleration