🇳🇴 🇬🇧 🇩🇪 🇨🇿 🇫🇮

Meteor, poloha: VĂĄler 2016-12-14 05:12:59 UTC

Soubor KML  |  InteraktivnĂ­ mapa

Mapa zobrazuje dráhy meteoru. Světlejší čáry ukazují směry od pozorovacích stanic při objevení se meteoru a tmavší čáry, kde byl naposledy viděn. Modrá šipka značí viditelnou dráhu meteoru.

static map
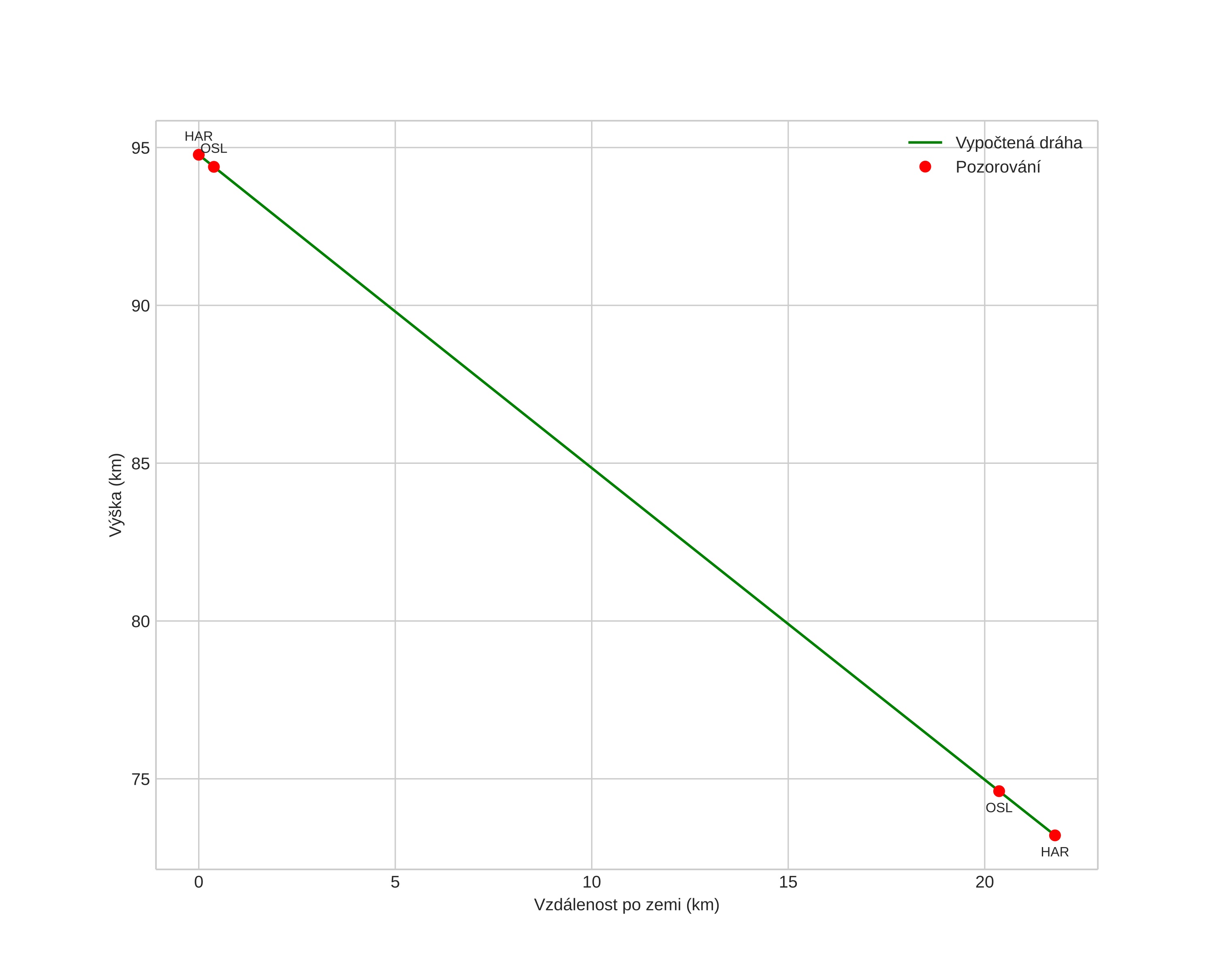
height profile
Atmosférická dráha meteoru:
Počáteční výška: 94,8 km
Konečná výška: 73,2 km
Počáteční poloha: 60,612N 11,236E
Konečná poloha: 60,643N 11,630E
Směr: 80,6°
Sklon: 44,8°
VstupnĂ­ rychlost: 33,1 km/s
Rektascenze radiantu: 07:35 (113,8°)
Deklinace radiantu: 32,4°
MeteorickĂ˝ roj: Geminidy
Elementy dráhy meteoroidu:
Vzdálenost v periheliu: 0,168 AU
Excentricita: 0,855
Sklon dráhy: 20,1°
Délka vzestupného uzlu: 262,4°
Argument perihelia: 323,2°
Střední anomálie: 328,2°
Epocha: 2016 DEC 14 05:12:59
orbit plot

NeinteraktivnĂ­ graf | InteraktivnĂ­ graf

position vs time
speed and acceleration