🇳🇴 🇬🇧 🇩🇪 🇨🇿 🇫🇮

Meteor Vålerin yllä 2016-12-14 05:12:59 UTC

KML-tiedosto  |  Interaktiivinen kartta

Kartta näyttää meteorin suuntahavainnot. Vaaleammat viivat näyttävät suunnat havaintoasemilta meteorin ilmestyessä, ja tummemmat viivat näyttävät, missä se viimeksi nähtiin. Sininen nuoli näyttää meteorin näkyvän lennon.

static map
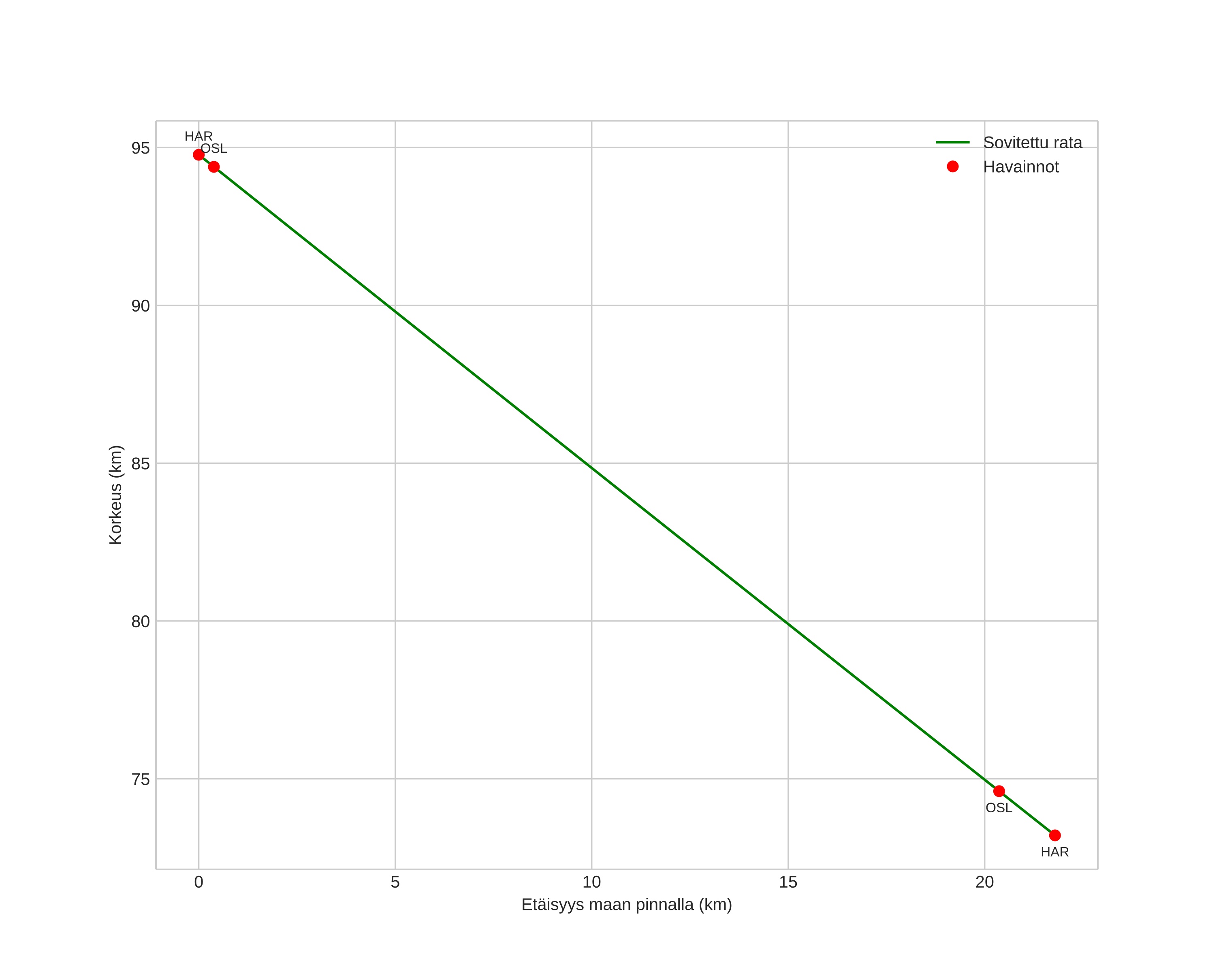
height profile
Meteorin ilmakehärata:
Alkukorkeus: 94,8 km
Loppukorkeus: 73,2 km
Alkupiste: 60,612N 11,236E
Loppupiste: 60,643N 11,630E
Suunta: 80,6°
Kallistuskulma: 44,8°
Tulonopeus: 33,1 km/s
Radiantin R,A,: 07:35 (113,8°)
Radiantin Dekl,: 32,4°
Meteoriparvi: Geminidit
Meteoroidin rataelementit:
Perihelietäisyys: 0,168 AU
Eksentrisyys: 0,855
Inklinaatio: 20,1°
Nousevan solmun pituus: 262,4°
Perihelin argumentti: 323,2°
Keskianomalia: 328,2°
Epookki: 2016 DEC 14 05:12:59
orbit plot

Ei-interaktiivinen kuvaaja | Interaktiivinen kuvaaja

position vs time
speed and acceleration