🇳🇴 🇬🇧 🇩🇪 🇨🇿 🇫🇮

Meteor, poloha: Sunne 2016-12-14 05:30:20 UTC

Soubor KML  |  InteraktivnĂ­ mapa

Mapa zobrazuje dráhy meteoru. Světlejší čáry ukazují směry od pozorovacích stanic při objevení se meteoru a tmavší čáry, kde byl naposledy viděn. Modrá šipka značí viditelnou dráhu meteoru.

static map
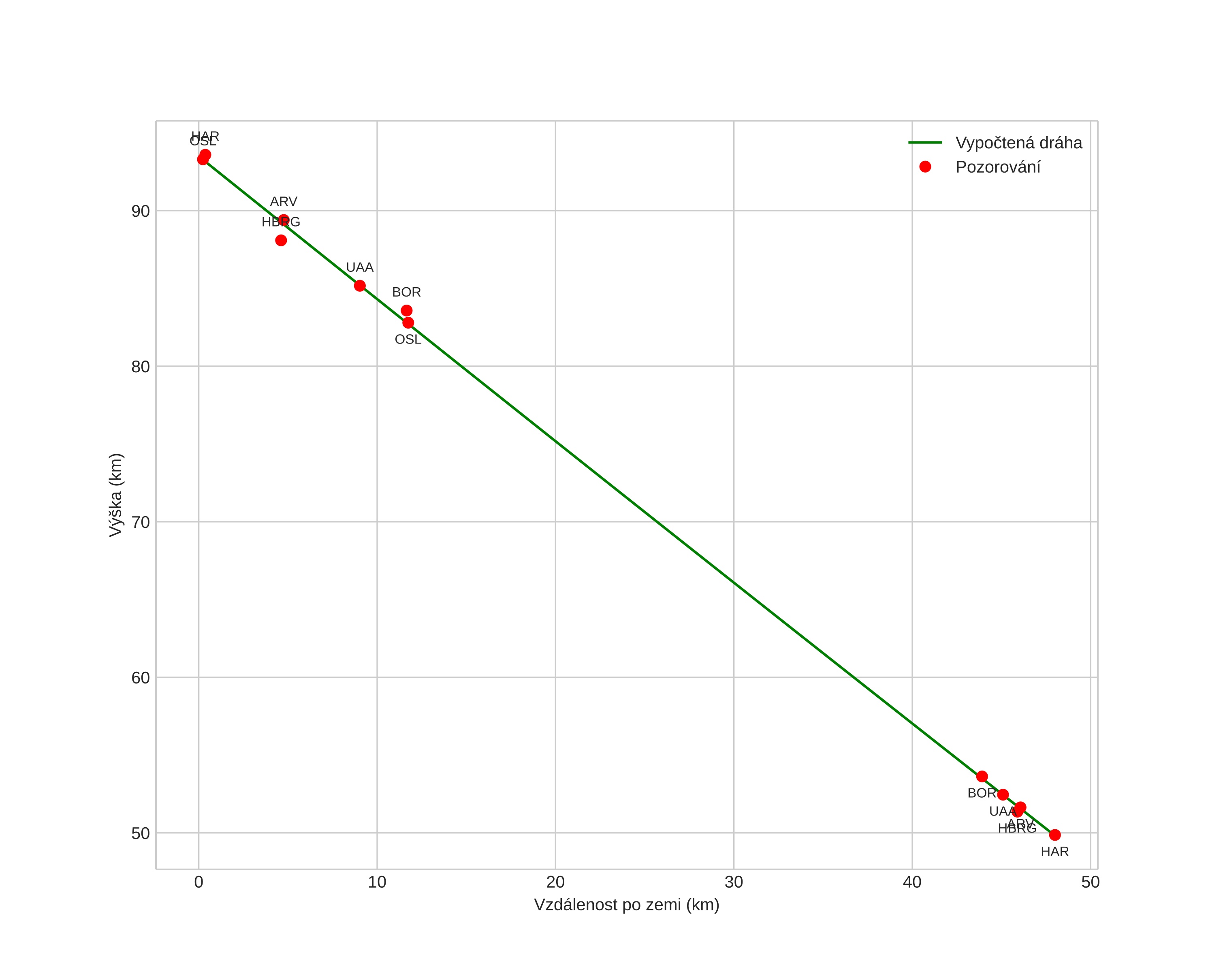
height profile
Atmosférická dráha meteoru:
Počáteční výška: 93,5 km
Konečná výška: 49,8 km
Počáteční poloha: 59,834N 12,264E
Konečná poloha: 59,855N 13,121E
Směr: 86,8°
Sklon: 42,3°
VstupnĂ­ rychlost: 33,9 km/s
Rektascenze radiantu: 07:34 (113,5°)
Deklinace radiantu: 32,8°
MeteorickĂ˝ roj: Geminidy
Elementy dráhy meteoroidu:
Vzdálenost v periheliu: 0,165 AU
Excentricita: 0,865
Sklon dráhy: 21,4°
Délka vzestupného uzlu: 262,4°
Argument perihelia: 322,7°
Střední anomálie: 331,2°
Epocha: 2016 DEC 14 05:30:20
orbit plot

NeinteraktivnĂ­ graf | InteraktivnĂ­ graf

position vs time
speed and acceleration