🇳🇴 🇬🇧 🇩🇪 🇨🇿 🇫🇮

Meteor Sunnen yllä 2016-12-14 05:30:20 UTC

KML-tiedosto  |  Interaktiivinen kartta

Kartta näyttää meteorin suuntahavainnot. Vaaleammat viivat näyttävät suunnat havaintoasemilta meteorin ilmestyessä, ja tummemmat viivat näyttävät, missä se viimeksi nähtiin. Sininen nuoli näyttää meteorin näkyvän lennon.

static map
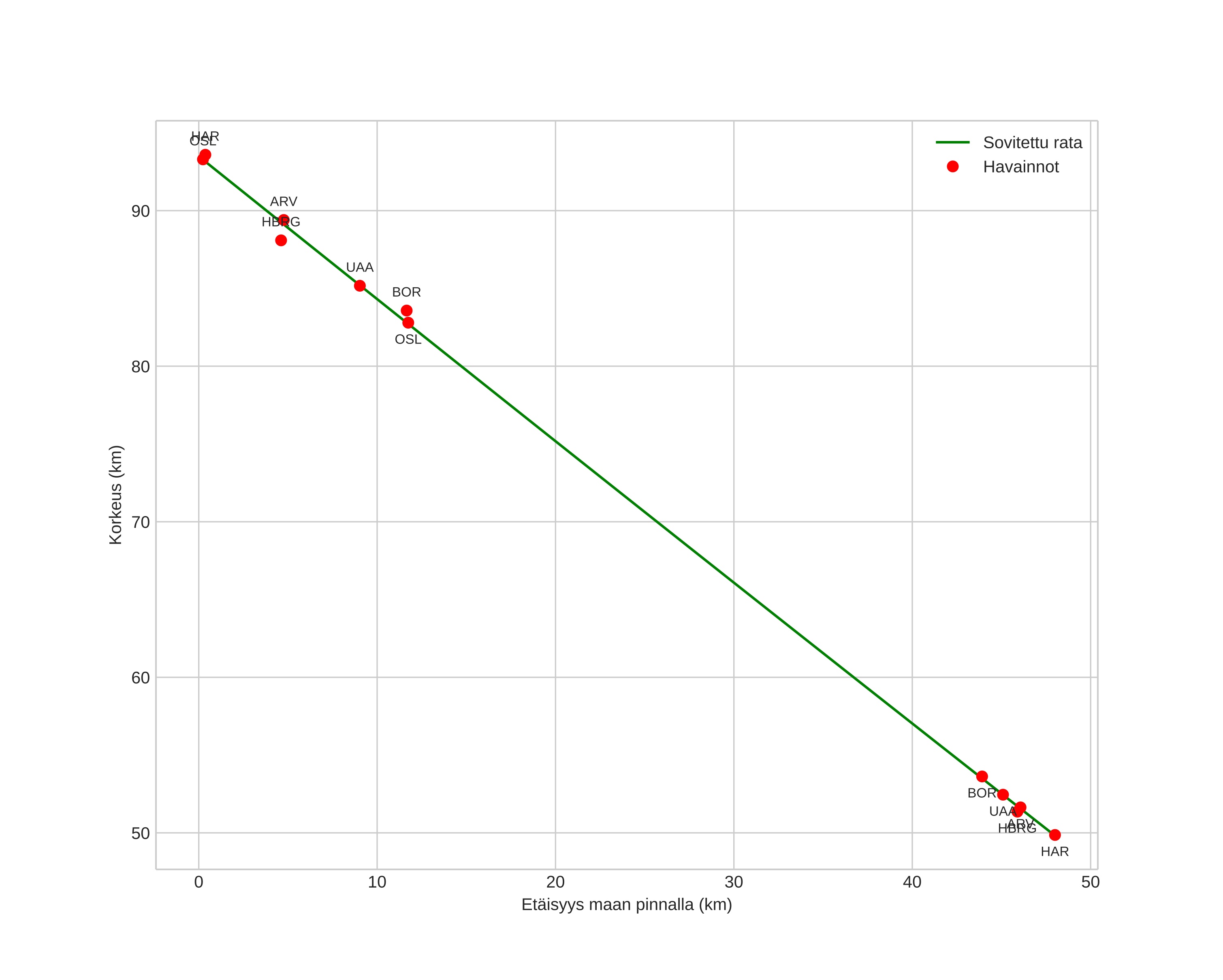
height profile
Meteorin ilmakehärata:
Alkukorkeus: 93,5 km
Loppukorkeus: 49,8 km
Alkupiste: 59,834N 12,264E
Loppupiste: 59,855N 13,121E
Suunta: 86,8°
Kallistuskulma: 42,3°
Tulonopeus: 33,9 km/s
Radiantin R,A,: 07:34 (113,5°)
Radiantin Dekl,: 32,8°
Meteoriparvi: Geminidit
Meteoroidin rataelementit:
Perihelietäisyys: 0,165 AU
Eksentrisyys: 0,865
Inklinaatio: 21,4°
Nousevan solmun pituus: 262,4°
Perihelin argumentti: 322,7°
Keskianomalia: 331,2°
Epookki: 2016 DEC 14 05:30:20
orbit plot

Ei-interaktiivinen kuvaaja | Interaktiivinen kuvaaja

position vs time
speed and acceleration