🇳🇴 🇬🇧 🇩🇪 🇨🇿 🇫🇮

Meteor, poloha: Ellös 2016-12-14 05:32:42 UTC

Soubor KML  |  InteraktivnĂ­ mapa

Mapa zobrazuje dráhy meteoru. Světlejší čáry ukazují směry od pozorovacích stanic při objevení se meteoru a tmavší čáry, kde byl naposledy viděn. Modrá šipka značí viditelnou dráhu meteoru.

static map
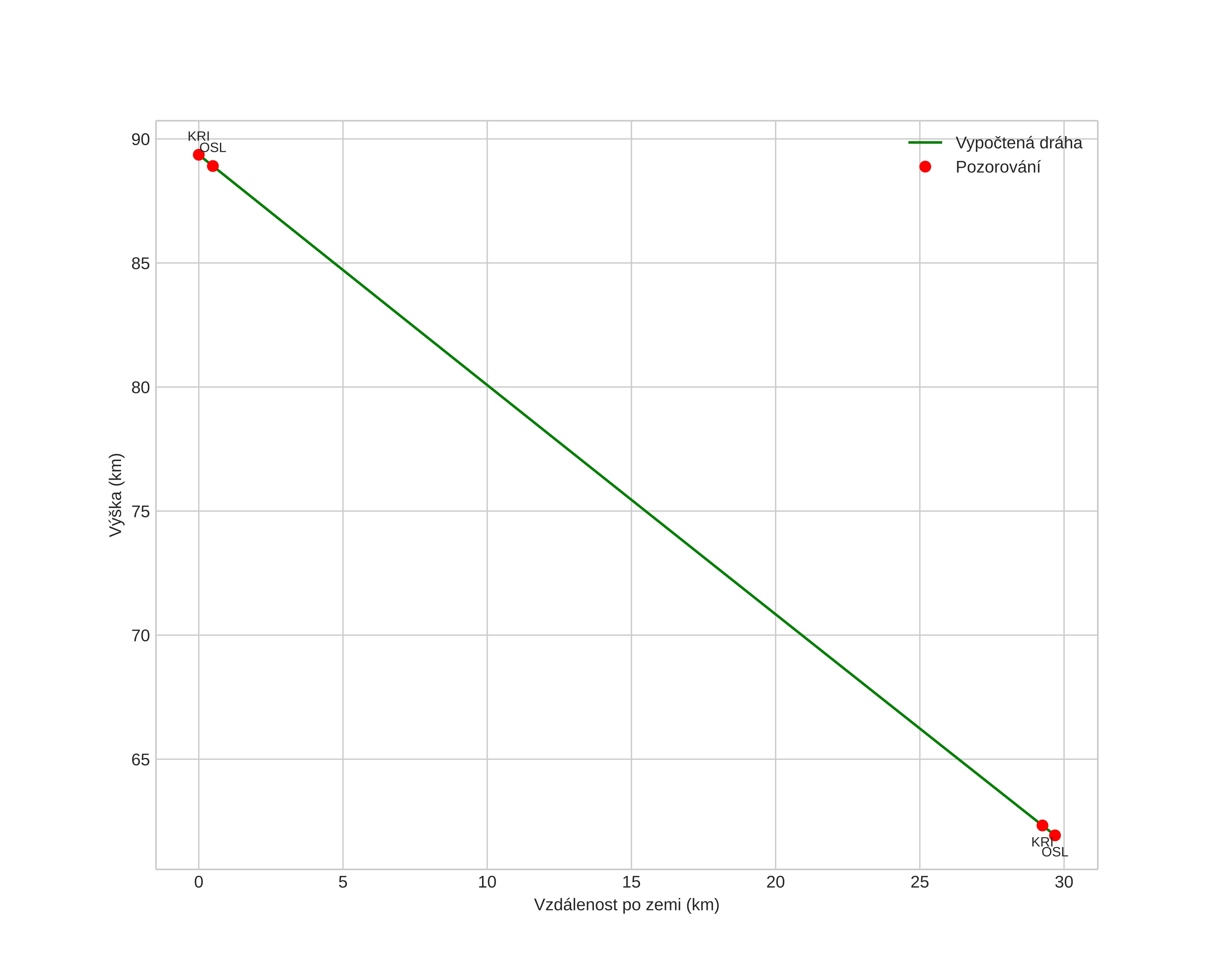
height profile
Atmosférická dráha meteoru:
Počáteční výška: 89,4 km
Konečná výška: 61,9 km
Počáteční poloha: 58,168N 11,069E
Konečná poloha: 58,183N 11,575E
Směr: 86,6°
Sklon: 42,8°
VstupnĂ­ rychlost: 34,9 km/s
Rektascenze radiantu: 07:37 (114,5°)
Deklinace radiantu: 32,4°
MeteorickĂ˝ roj: Geminidy
Elementy dráhy meteoroidu:
Vzdálenost v periheliu: 0,147 AU
Excentricita: 0,882
Sklon dráhy: 22,9°
Délka vzestupného uzlu: 262,4°
Argument perihelia: 324,6°
Střední anomálie: 332,9°
Epocha: 2016 DEC 14 05:32:42
orbit plot

NeinteraktivnĂ­ graf | InteraktivnĂ­ graf

position vs time
speed and acceleration