🇳🇴 🇬🇧 🇩🇪 🇨🇿 🇫🇮

Meteor Ellösin yllä 2016-12-14 05:32:42 UTC

KML-tiedosto  |  Interaktiivinen kartta

Kartta näyttää meteorin suuntahavainnot. Vaaleammat viivat näyttävät suunnat havaintoasemilta meteorin ilmestyessä, ja tummemmat viivat näyttävät, missä se viimeksi nähtiin. Sininen nuoli näyttää meteorin näkyvän lennon.

static map
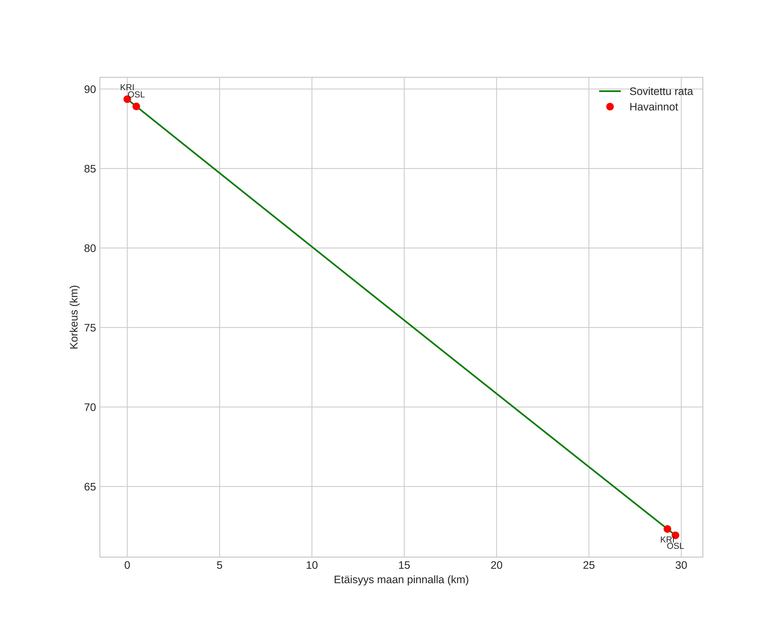
height profile
Meteorin ilmakehärata:
Alkukorkeus: 89,4 km
Loppukorkeus: 61,9 km
Alkupiste: 58,168N 11,069E
Loppupiste: 58,183N 11,575E
Suunta: 86,6°
Kallistuskulma: 42,8°
Tulonopeus: 34,9 km/s
Radiantin R,A,: 07:37 (114,5°)
Radiantin Dekl,: 32,4°
Meteoriparvi: Geminidit
Meteoroidin rataelementit:
Perihelietäisyys: 0,147 AU
Eksentrisyys: 0,882
Inklinaatio: 22,9°
Nousevan solmun pituus: 262,4°
Perihelin argumentti: 324,6°
Keskianomalia: 332,9°
Epookki: 2016 DEC 14 05:32:42
orbit plot

Ei-interaktiivinen kuvaaja | Interaktiivinen kuvaaja

position vs time
speed and acceleration