🇳🇴 🇬🇧 🇩🇪 🇨🇿 🇫🇮

Meteor, poloha: Siljan 2016-12-14 06:05:42 UTC

Soubor KML  |  InteraktivnĂ­ mapa

Mapa zobrazuje dráhy meteoru. Světlejší čáry ukazují směry od pozorovacích stanic při objevení se meteoru a tmavší čáry, kde byl naposledy viděn. Modrá šipka značí viditelnou dráhu meteoru.

static map
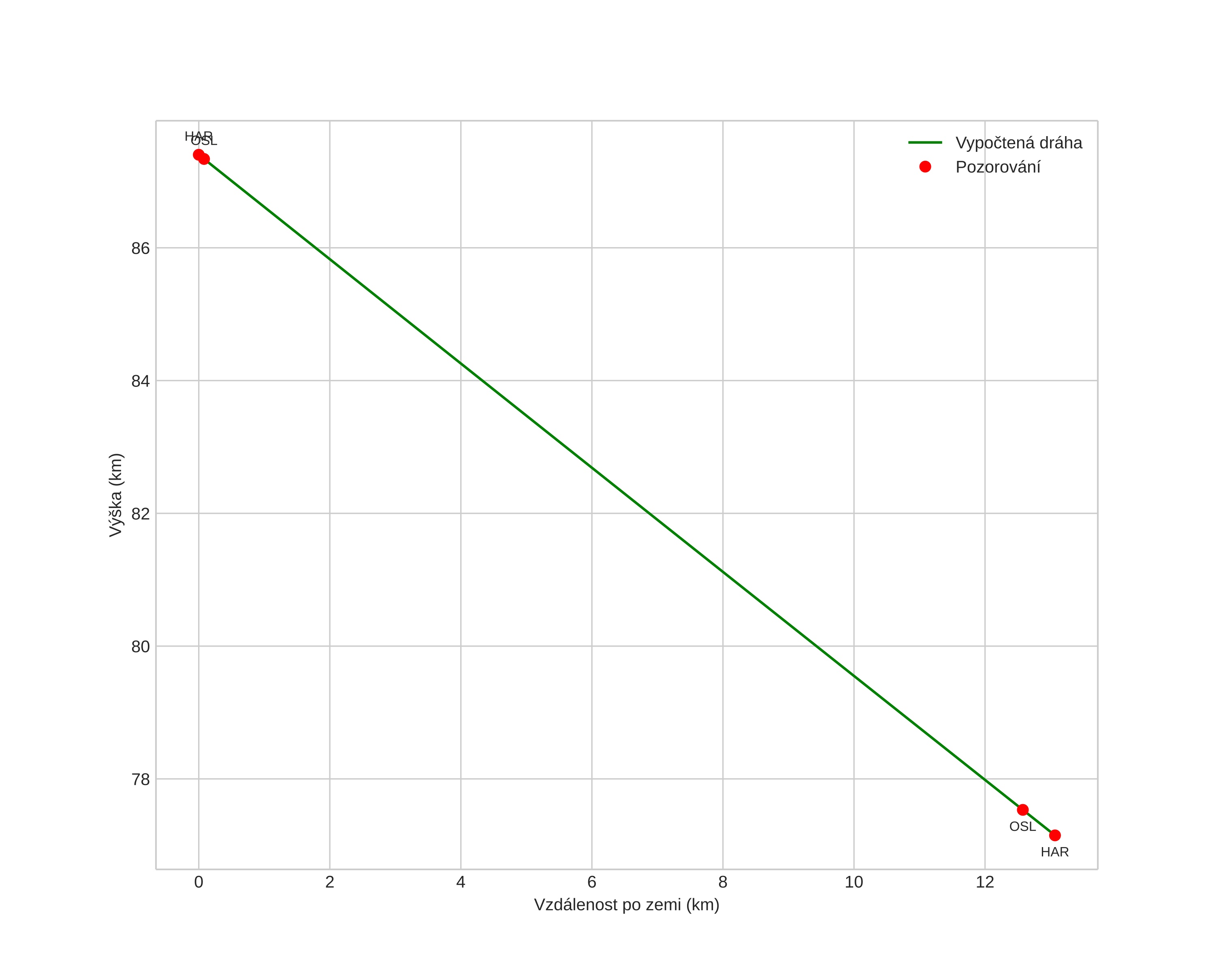
height profile
Atmosférická dráha meteoru:
Počáteční výška: 87,4 km
Konečná výška: 77,1 km
Počáteční poloha: 59,243N 9,624E
Konečná poloha: 59,231N 9,852E
Směr: 95,5°
Sklon: 38,2°
VstupnĂ­ rychlost: 34,3 km/s
Rektascenze radiantu: 07:22 (110,7°)
Deklinace radiantu: 33,3°
MeteorickĂ˝ roj: Geminidy
Elementy dráhy meteoroidu:
Vzdálenost v periheliu: 0,186 AU
Excentricita: 0,867
Sklon dráhy: 20,8°
Délka vzestupného uzlu: 262,4°
Argument perihelia: 318,3°
Střední anomálie: 336,7°
Epocha: 2016 DEC 14 06:05:42
orbit plot

NeinteraktivnĂ­ graf | InteraktivnĂ­ graf

position vs time
speed and acceleration